精英家教网 > 高中数学 > 题目详情
已知:以点为圆心的圆与x轴交于点O,A,与y轴交于点O、B,其中O为原点,
(1)求证:△OAB的面积为定值;
(2)设直线y=-2x+4与圆C交于点M,N,若OM=ON,求圆C的方程.
【答案】分析:(1)求出半径,写出圆的方程,再解出A、B的坐标,表示出面积即可.
(2)通过题意解出OC的方程,解出t 的值,直线y=-2x+4与圆C交于点M,N,判断t是否符合要求,可得圆的方程.
解答:解:(1)∵圆C过原点O,

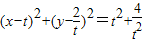
设圆C的方程是
令x=0,得
令y=0,得x1=0,x2=2t

即:△OAB的面积为定值;
(2)∵OM=ON,CM=CN,
∴OC垂直平分线段MN,
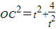
∵kMN=-2,∴
∴直线OC的方程是
,解得:t=2或t=-2,
当t=2时,圆心C的坐标为(2,1),
此时C到直线y=-2x+4的距离
圆C与直线y=-2x+4相交于两点,
当t=-2时,圆心C的坐标为(-2,-1),
此时C到直线y=-2x+4的距离
圆C与直线y=-2x+4不相交,
∴t=-2不符合题意舍去,
∴圆C的方程为(x-2)2+(y-1)2=5.
点评:本题考查直线与圆的位置关系,圆的标准方程等有关知识,是中档题.
练习册系列答案
相关习题

科目:高中数学 来源: 题型:

(14分)已知是以点为圆心的圆上的动点,定点.点上,点上,且满足.动点的轨迹为曲线.

    (Ⅰ)求曲线的方程;

(Ⅱ)线段是曲线的长为的动弦,为坐标原点,求面积的取值范围.

查看答案和解析>>

科目:高中数学 来源:江苏省2010年高考预测试题数学 题型:解答题

已知:以点为圆心的圆与x轴交于点O,A,与Y轴交于点O,B,其中O为原点.

    (1)求证:△OAB的面积为定值:

    (2)设直线y=-2x+4与圆C交于点M,N,若OM= ON,求圆C的方程.

 

 

查看答案和解析>>

科目:高中数学 来源:山东省济宁市2012届高二下学期期末考试理科数学 题型:解答题

(本小题满分12分)已知:以点为圆心的圆与x轴交于

 

点O,A,与y轴交于点O,B,其中O为原点。

(Ⅰ) 求证:⊿OAB的面积为定值;

(Ⅱ) 设直线y=-2x+4与圆C交于点M,N,若OM=ON,求圆C的方程。

 

查看答案和解析>>

科目:高中数学 来源:2012届山东省高二下学期期末考试理科数学 题型:解答题

(本小题满分12分)已知:以点为圆心的圆与x轴交于

点O,A,与y轴交于点O,B,其中O为原点。

(Ⅰ) 求证:⊿OAB的面积为定值;

(Ⅱ) 设直线y=-2x+4与圆C交于点M,N,若OM=ON,求圆C的方程。

 

查看答案和解析>>

科目:高中数学 来源:2009-2010学年度新课标高三下学期数学单元测试2-理科 题型:解答题

 已知是以点为圆心的圆上的动点,定点.点上,点上,且满足.动点的轨迹为曲线

   (Ⅰ)求曲线的方程;

   (Ⅱ)线段是曲线的长为的动弦,为坐标原点,求面积的取值范围。

 

 

 

 

 

 

 

 

 

 

查看答案和解析>>

同步练习册答案