【答案】
分析:(Ⅰ)由题意可得|AF
1|+|BF
1|+|AB|=8,结合|AB|=AF
2|+|BF
2|,可求|AF
1|+|BF
1|+|AF
2|+|BF
2|,根据椭圆的定义可求a,然后由c得值班可求b,进而可求椭圆的方程
(Ⅱ)设点E的(m,0),由已知可得直线l的方程为y=k(x-1),代入椭圆方程

=1整理得:(3+4k
2)x
2-8k
2x+4k
2-12=0,设A(x
1,y
1),B(x
2,y
2),则x
1,x
2是方程(*)的两个实根,结合根与系数得关系及

,

,代入可求点E的坐标
解答:解:(Ⅰ)依题意,A、B不与椭圆C长轴两端点重合,因为△ABF
1的周长为8,
即|AF
1|+|BF
1|+|AB|=8,又|AB|=AF
2|+|BF
2|,
所以|AF
1|+|BF
1|+|AF
2|+|BF
2|=8.
根据椭圆的定义,得|AF
1|+|AF
2|=2a,|BF
1|+|BF
2|=2a,
所以,4a=8,a=2.…(2分)
又因为 c=1,
所以,b=

.
所以椭圆C的方程为

=1.(4分)
(Ⅱ)设点E的坐标为(m,0),由已知可得直线l的方程为y=k(x-1),
代入椭圆方程

=1
消去y整理得:(3+4k
2)x
2-8k
2x+4k
2-12=0(*)(6分)
△=64k
4-4(3+4k
2)(4k
2-12)=144(k
2+1)>0
设A(x
1,y
1),B(x
2,y
2),则x
1,x
2是方程(*)的两个实根,
由根与系数的关系可知:


(8分)

),

),

),

)
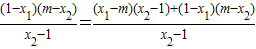
由已知

,得1-x
1=λ(x
2-1).
由已知x
2≠1,则λ=

(9分)

)x
1-m+λ(m-x
2)=x
1-m+

=

.
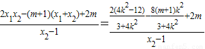
因为

)=0

=(2,0),

)
∴2(x
1-m+λ(m-x
2))=0
∴

+2m=0
化简得:6m-24=0,m=4,即E(4,0).(12分)
点评:本题主要考查了利用椭圆的定义求解椭圆的方程,直线与椭圆的相交关系的应用,方程的根与系数的关系的应用,考查了考生的基本运算推理的能力.