精英家教网 > 高中数学 > 题目详情
已知长方形ABCD,AB=6,BC=7/4.以AB的中点0为原点建立如图所示的平面直角坐标系x0y
(1)求以A、B为焦点,且过C、D两点的椭圆C的标准方程;
(2)若P为椭圆C上的动点,M为过P且垂直于x轴的直线上的点,=λ,求点M的轨迹方程,并说明轨迹是什么曲线.

【答案】分析:(1)由椭圆的定义可得2c=AB可求c,在长方形ABCD,由AB=6,BC=可得AC,根据椭圆的定义可得,2a=CA+CB可求a,进而可求b及椭圆的方程
(2)设M(x,y),其中x∈[-4,4].由已知=λ,及点P在椭圆C上可得((16λ2-9)x2+16λ2y2=112,x∈[-4,4],根据方程的特点,故讨论二次项系数16λ2-9=0,16λ2-9>0,16λ2-9<0三种情况讨论,从而可得方程代表的曲线类型
解答:解:(1)由椭圆的定义可得2c=AB=6,c=3
在长方形ABCD,由AB=6,BC=可得AC=
∴2a=CA+CB=8,a=4∴b2=a2-c2=7
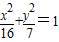
椭圆的方程为…(5分)
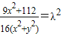
(2)设M(x,y),其中x∈[-4,4].由已知=λ,及点P在椭圆C上可得
.整理得((16λ2-9)x2+16λ2y2=112,x∈[-4,4]…(8分)
(i)时.化简得9y2=112
所以点M的轨迹方程为,轨迹是两条平行于x轴的线段.
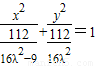
(ii)时,方程变形为,其中x∈[-4,4]
时,点M的轨迹为中心在原点、实轴在y轴上的双曲线满足-4≤x≤4的部分.
时,点M的轨迹为中心在原点、长轴在x轴上的椭圆满足-4≤x≤4的部分;
当λ≥1时,点M的轨迹为中心在原点、长轴在x轴上的椭圆…(13分)
点评:本题主要考查了利用椭圆的定义求解椭圆的参数a,c,b的值,进而求解椭圆的方程,及二次曲线表示椭圆、双曲线、圆的条件的考查.
练习册系列答案
相关习题

科目:高中数学 来源: 题型:

已知长方形ABCD,AB=4,BC=3,则以A、B为焦点,且过C、D两点的椭圆的离心率为
 

查看答案和解析>>

科目:高中数学 来源: 题型:

已知长方形ABCD,AB=6,BC=7/4.以AB的中点0为原点建立如图所示的平面直角坐标系x0y
(1)求以A、B为焦点,且过C、D两点的椭圆C的标准方程;
(2)若P为椭圆C上的动点,M为过P且垂直于x轴的直线上的点,
|0P||0M|
=λ,求点M的轨迹方程,并说明轨迹是什么曲线.

查看答案和解析>>

科目:高中数学 来源: 题型:

如图,已知长方形ABCD的两条对角线的交点为E(1,0),且AB与BC所在的直线方程分别为:x+3y-5=0与ax-y+5=0.
(1)求a的值;
(2)求DA所在的直线方程.

查看答案和解析>>

科目:高中数学 来源: 题型:

已知长方形ABCD的AB=3,AD=4.AC∩BD=O.将长方形ABCD沿对角线BD折起,使AC=a,得到三棱锥A-BCD,如图所示.过A作BD的垂线交BD于E.

(1)问a为何值时,AE⊥CD;
(2)当二面角A-BD-C的大小为90°时,求二面角A-BC-D的正切值.

查看答案和解析>>

科目:高中数学 来源: 题型:

(2013•日照一模)已知长方形ABCD,AB=2
2
,BC=
3
3
.以AB的中点O为原点建立如图所示的平面直角坐标系xOy.
(I)求以A,B为焦点,且过C,D两点的椭圆P的标准方程;
(Ⅱ)已知定点E(-1,0),直线y=kx+t与椭圆P交于M、N相异两点,证明:对作意的t>0,都存在实数k,使得以线段MN为直径的圆过E点.

查看答案和解析>>

同步练习册答案