精英家教网 > 高中数学 > 题目详情
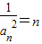
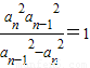
[x]表示不超过x的最大整数,正项数列{an}满足a1=1,
(1)求数列{an}的通项公式an
(2)求证:
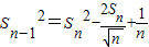
(3)已知数列{an}的前n项和为Sn,求证:当n>2时,有
【答案】分析:(1)根据,取其倒数,即可求得数列{an}的通项公式an
(2),设n-1=1+2+…+2m+k,其中k,m∈N且0≤k<2m+1,则,又2m+1≤n=2m+1+k<2m+2,从而m+1≤log2n<m+2,故可得证.
(3)两边平方,并整理可得:当n>2时,.又,…,,累加得:-,利用(2)结论可得,所以,从而问题可证.
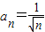
解答:(1)解:∵


是以1为首项1为公差的等差数列


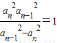
(2)证明:
,…,
设n-1=1+2+…+2m+k,其中k,m∈N且0≤k<2m+1

又2m+1≤n=2m+1+k<2m+2
从而m+1≤log2n<m+2
∴[log2n]=m+1
所以

(3)证明:∵


∴当n>2时,



累加得:-
由(2)结论有


=
点评:本题以数列的递推式为载体,考查数列的通项,考查不等式的证明,考查累加法求和,同时考查新定义的理解,属于中档题
练习册系列答案
相关习题

科目:高中数学 来源: 题型:

已知:函数f(x)=[x[x]](x∈R),其中[x]表示不超过x的最大整数.
如[-2.1]=-3,[-3]=-3,[2.5]=2.
(1)判断f(x)的奇偶性;
(2)若x∈[-2,3],求f(x)的值域;
(3)若x∈[0,n](n∈N*),f(x)的值域为An,现将An,中的元素的个数记为an.试求an+1与an的关系,并进一步求出an的表达式.

查看答案和解析>>

科目:高中数学 来源:不详 题型:解答题

已知:函数f(x)=[x[x]](x∈R),其中[x]表示不超过x的最大整数.
如[-2.1]=-3,[-3]=-3,[2.5]=2.
(1)判断f(x)的奇偶性;
(2)若x∈[-2,3],求f(x)的值域;
(3)若x∈[0,n](n∈N*),f(x)的值域为An,现将An,中的元素的个数记为an.试求an+1与an的关系,并进一步求出an的表达式.

查看答案和解析>>

科目:高中数学 来源:2010-2011学年湖北省孝感高中高三(上)8月数学测试卷5(理科)(解析版) 题型:解答题

已知:函数f(x)=[x[x]](x∈R),其中[x]表示不超过x的最大整数.
如[-2.1]=-3,[-3]=-3,[2.5]=2.
(1)判断f(x)的奇偶性;
(2)若x∈[-2,3],求f(x)的值域;
(3)若x∈[0,n](n∈N*),f(x)的值域为An,现将An,中的元素的个数记为an.试求an+1与an的关系,并进一步求出an的表达式.

查看答案和解析>>

科目:高中数学 来源:2006-2007学年北京市宣武区高三(上)期末数学试卷(文科)(解析版) 题型:解答题

已知:函数f(x)=[x[x]](x∈R),其中[x]表示不超过x的最大整数.
如[-2.1]=-3,[-3]=-3,[2.5]=2.
(1)判断f(x)的奇偶性;
(2)若x∈[-2,3],求f(x)的值域;
(3)若x∈[0,n](n∈N*),f(x)的值域为An,现将An,中的元素的个数记为an.试求an+1与an的关系,并进一步求出an的表达式.

查看答案和解析>>

科目:高中数学 来源:2006-2007学年北京市宣武区高三(上)期末数学试卷(理科)(解析版) 题型:解答题

已知:函数f(x)=[x[x]](x∈R),其中[x]表示不超过x的最大整数.
如[-2.1]=-3,[-3]=-3,[2.5]=2.
(1)判断f(x)的奇偶性;
(2)若x∈[-2,3],求f(x)的值域;
(3)若x∈[0,n](n∈N*),f(x)的值域为An,现将An,中的元素的个数记为an.试求an+1与an的关系,并进一步求出an的表达式.

查看答案和解析>>

同步练习册答案