精英家教网 > 高中数学 > 题目详情

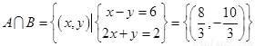
,满足的集合的个数为(   )

A.0            B.1              C.2            D.4

 

【答案】

【解析】

试题分析:,满足的集合C的个数为

考点:集合与集合间的关系.

 

练习册系列答案
相关习题

科目:高中数学 来源: 题型:

(06年辽宁卷)设集合,则满足的集合的个数是(  )

A.1            B.3            C.4            D.8

查看答案和解析>>

科目:高中数学 来源:2011-2012学年宁夏高三第五次月考理科数学 题型:选择题

设集合,则满足的集合的个数是(         )

 A.1                  B.3              C.4                D.8

 

查看答案和解析>>

科目:高中数学 来源:2010-2011学年山东省高三上学期第一次诊断性测试文科数学卷 题型:填空题

设集合,则满足的集合的个数是                   .

 

查看答案和解析>>

科目:高中数学 来源:2012届内蒙古巴彦淖尔市12月月考高三理科数学试卷 题型:选择题

设集合,则满足的集合的个数是(    )

    A.1       B.3      C.4      D.8

 

查看答案和解析>>

同步练习册答案