精英家教网 > 高中数学 > 题目详情
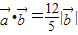
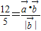
已知||=3,||=5,且向量在向量方向上的投影为,则=   
【答案】分析:利用向量的数量积公式得到向量的投影,列出方程求出
解答:解:上的投影=

=12
故答案为12
点评:本题考查向量的数量积的应用:求向量的投影.
练习册系列答案
相关习题

科目:高中数学 来源: 题型:

已知α=
π
3

(1)写出所有与α终边相同的角;
(2)写出在(-4π,2π)内与α终边相同的角;
(3)若角β与α终边相同,则
β
2
是第几象限的角?

查看答案和解析>>

科目:高中数学 来源: 题型:

已知θ∈(
4
4
)
sin(θ-
π
4
)=
5
13
,则sinθ等于
 

查看答案和解析>>

科目:高中数学 来源: 题型:

已知
3
是3a与3b的等比中项,其中a,b>0,则
1
a
+
1
b
的最小值为
4
4

查看答案和解析>>

科目:高中数学 来源: 题型:

已知-3≤log
1
2
x≤-1,f(x)=[log2(4m•x)]•(log2
4
x
)(m∈R)

(1)求函数f(x)的最大值g(m)的解析式;
(2)若g(m)≥t+m+2对任意m∈[-4,0]恒成立,求实数t的取值范围.

查看答案和解析>>

科目:高中数学 来源: 题型:

已知
4
<α<π,tanα+cotα=-
10
3
,则tanα的值为(  )
A、-3
B、-
1
3
C、-3或-
1
3
D、-
4
3

查看答案和解析>>

同步练习册答案