精英家教网 > 高中数学 > 题目详情
设等比数列{an}共有3n项,它的前2n项的和为100,后2n项之和为200,则该等比数列中间n项的和等于   
【答案】分析:首先利用等比数列的前n项和公式求出S2n==100,S3n-Sn==200,即可求出qn=2,再根据S2n=100==3Sn,求出sn即可求出结果.
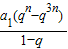
解答:解:S2n==100
S3n-Sn==200,
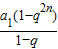
解得qn=2 S2n=100==(1+qn)Sn=3Sn
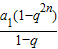
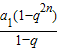
∴Sn= 中间n项为100-=
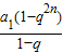
故答案为:
点评:本题考查了等比数列的性质以及前n项和公式,要注意认真计算,属于中档题.
练习册系列答案
相关习题

科目:高中数学 来源: 题型:

已知等比数列{an}的首项为a1=2,公比为q(q为正整数),且满足3a3是8a1与a5的等差中项;数列{bn}满足2n2-(t+bn)n+
32
bn=0(t∈R,n∈N*).
(1)求数列{an}的通项公式;
(2)试确定t的值,使得数列{bn}为等差数列;
(3)当{bn}为等差数列时,对任意正整数k,在ak与ak+1之间插入2共bk个,得到一个新数列{cn}.设Tn是数列{cn}的前n项和,试求满足Tn=2cm+1的所有正整数m的值.

查看答案和解析>>

科目:高中数学 来源:2010年湖南省长沙一中高考数学一模试卷(理科)(解析版) 题型:解答题

已知等比数列{an}的首项为a1=2,公比为q(q为正整数),且满足3a3是8a1与a5的等差中项;数列{bn}满足2n2-(t+bn)n+bn=0(t∈R,n∈N*).
(1)求数列{an}的通项公式;
(2)试确定t的值,使得数列{bn}为等差数列;
(3)当{bn}为等差数列时,对任意正整数k,在ak与ak+1之间插入2共bk个,得到一个新数列{cn}.设Tn是数列{cn}的前n项和,试求满足Tn=2cm+1的所有正整数m的值.

查看答案和解析>>

科目:高中数学 来源:2011年江苏省高考数学仿真押题试卷(05)(解析版) 题型:解答题

已知等比数列{an}的首项为a1=2,公比为q(q为正整数),且满足3a3是8a1与a5的等差中项;数列{bn}满足2n2-(t+bn)n+bn=0(t∈R,n∈N*).
(1)求数列{an}的通项公式;
(2)试确定t的值,使得数列{bn}为等差数列;
(3)当{bn}为等差数列时,对任意正整数k,在ak与ak+1之间插入2共bk个,得到一个新数列{cn}.设Tn是数列{cn}的前n项和,试求满足Tn=2cm+1的所有正整数m的值.

查看答案和解析>>

科目:高中数学 来源:2011年上海市徐汇区、金山区高考数学二模试卷(理科)(解析版) 题型:解答题

已知等比数列{an}的首项为a1=2,公比为q(q为正整数),且满足3a3是8a1与a5的等差中项;数列{bn}满足2n2-(t+bn)n+bn=0(t∈R,n∈N*).
(1)求数列{an}的通项公式;
(2)试确定t的值,使得数列{bn}为等差数列;
(3)当{bn}为等差数列时,对任意正整数k,在ak与ak+1之间插入2共bk个,得到一个新数列{cn}.设Tn是数列{cn}的前n项和,试求满足Tn=2cm+1的所有正整数m的值.

查看答案和解析>>

科目:高中数学 来源:高考数学最后冲刺必读题解析30讲(22)(解析版) 题型:解答题

已知等比数列{an}的首项为a1=2,公比为q(q为正整数),且满足3a3是8a1与a5的等差中项;数列{bn}满足2n2-(t+bn)n+bn=0(t∈R,n∈N*).
(1)求数列{an}的通项公式;
(2)试确定t的值,使得数列{bn}为等差数列;
(3)当{bn}为等差数列时,对任意正整数k,在ak与ak+1之间插入2共bk个,得到一个新数列{cn}.设Tn是数列{cn}的前n项和,试求满足Tn=2cm+1的所有正整数m的值.

查看答案和解析>>

同步练习册答案