精英家教网 > 高中数学 > 题目详情
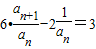
设二次方程,n∈N+有两根α和β,且满足6α-2αβ+6β=3,a1=1.
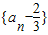
(1)证明:是等比数列,并求{an}的通项公式;
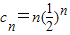
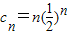
(2)设,n∈N+,Tn为{cn}的前n项和,证明:Tn<2,(n∈N+).
【答案】分析:(1)6α-2αβ+6β=3,即,可推出,n∈N+,由此能证明是等比数列,并能求出并求{an}的通项公式.
(2)由,知,由此利用错位相减法能证明:Tn<2,(n∈N+).
解答:解:(1)∵二次方程,n∈N+有两根α和β,
且满足6α-2αβ+6β=3,a1=1.

,n∈N+
,且
是以为首项,公比为的等比数列.


(2)∵,n∈N+,∴
Tn=1×+2×(2+3×(3+…+n×(n
=1×(2+2×(3+3×(4+…+n×(n+1
两式相减,得=+(2+(3+…+(n-n×(n+1
=1-(n-n•(n+1
∴Tn=2--n•<2.
点评:本题考查等差数列的证明,考查数列的通项公式的证明,考查不等式的证明.解题时要认真审题,注意等价转化思想的合理运用.
练习册系列答案
相关习题

科目:高中数学 来源: 题型:解答题

设二次方程数学公式,n∈N+有两根α和β,且满足6α-2αβ+6β=3,a1=1
(1)试用an表示an+1;      
(2)证明数学公式是等比数列;
(3)设数学公式,n∈N+,Tn为{cn}的前n项和,证明:数学公式(n∈N+).

查看答案和解析>>

科目:高中数学 来源:2012-2013学年浙江省宁波市余姚三中高三(上)第一次月考数学试卷(文科)(解析版) 题型:解答题

设二次方程,n∈N+有两根α和β,且满足6α-2αβ+6β=3,a1=1
(1)试用an表示an+1
(2)证明是等比数列;
(3)设,n∈N+,Tn为{cn}的前n项和,证明Tn<2,(n∈N*).

查看答案和解析>>

科目:高中数学 来源:2012-2013学年安徽省阜阳一中高三(上)第一次月考数学试卷(文科)(解析版) 题型:解答题

设二次方程,n∈N+有两根α和β,且满足6α-2αβ+6β=3,a1=1
(1)试用an表示an+1
(2)证明是等比数列;
(3)设,n∈N+,Tn为{cn}的前n项和,证明Tn<2,(n∈N*).

查看答案和解析>>

科目:高中数学 来源:2012-2013学年浙江省宁波四中高三(上)期中数学试卷(文科)(解析版) 题型:解答题

设二次方程,n∈N+有两根α和β,且满足6α-2αβ+6β=3,a1=1
(1)试用an表示an+1;            
(2)证明是等比数列;
(3)设,n∈N+,Tn为{cn}的前n项和,证明:(n∈N+).

查看答案和解析>>

同步练习册答案