精英家教网 > 高中数学 > 题目详情
已知椭圆的两个焦点为F1、F2,过点F1作直线交椭圆于A、B两点,则△ABF2的周长( )
A.16
B.18
C.20
D.24
【答案】分析:根据椭圆的标准方程,求出a的值,由△ABF2的周长是 (|AF1|+|AF2|)+(|BF1|+|BF2|)=2a+2a 求出结果.
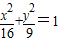
解答:解:椭圆
∴a=4,
△ABF2的周长是 (|AF1|+|AF2|)+(|BF1|+|BF2|)=2a+2a=4a=16,
故选A.
点评:本题考查椭圆的定义、标准方程,以及简单性质的应用,利用椭圆的定义是解题的关键.
练习册系列答案
相关习题

科目:高中数学 来源: 题型:

已知椭圆的两个焦点为F1(-
5
,0)
F2(
5
,0)
,M是椭圆上一点,若
MF1
MF2
=0
|
MF1
|•|
MF2
|=8
,则该椭圆的方程是(  )

查看答案和解析>>

科目:高中数学 来源:2012届重庆市“名校联盟”高二第一次联考文科数学试卷(解析版) 题型:选择题

已知椭圆的两个焦点为(),(1,0),椭圆的长半轴长为2,则椭圆方程为(   )

A.                           B.

C.                          D.

 

查看答案和解析>>

科目:高中数学 来源:2012届度安徽省泗县高三第一学期期中文科数学试卷 题型:解答题

已知椭圆的两个焦点为F1、F2,椭圆上一点满足

(1)求椭圆的方程;

(2)若直线与椭圆恒有两上不同的交点A、B,且(O是坐标原点),求k的范围。

 

查看答案和解析>>

科目:高中数学 来源:2011-2012年浙江省高二第一学期期中考试理科数学 题型:解答题

((本小题10分) 已知椭圆的两个焦点为,点在椭圆G上,且,且,斜率为1的直线与椭圆G交与A、B两点,以AB为底边作等腰三角形,顶点为P(-3,2).

    (1)求椭圆G的方程;

    (2)求的面积.

 

 

查看答案和解析>>

科目:高中数学 来源:2013届陕西省高二上学期期末考试理科数学 题型:选择题

已知椭圆的两个焦点为是椭圆上一点,

,则该椭圆的方程是(  )

 A、  B、  C、  D、

 

 

查看答案和解析>>

同步练习册答案