精英家教网 > 高中数学 > 题目详情

三棱锥V ABC的底面ABC为正三角形,侧面VAC垂直于底面,VA =VC,已知其正视图(VAC)的面积为,则其左视图的面积为(    )        

 A. B.   C.   D.

 

【答案】

D

【解析】

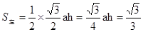
试题分析:如图所示,取AC的中点D,连结VD、BD,设VD=h,AB=AC=BC=a,由题干可知,则,左视图为,则.

考点:1.三视图;2.面面垂直的性质定理

 

练习册系列答案
相关习题

科目:高中数学 来源: 题型:

精英家教网如图,已知平面A1B1C1平行于三棱锥V-ABC的底面ABC,等边△AB1C所在的平面与底面ABC垂直,且∠ACB=90°,设AC=2a,BC=a
(1)求证直线B1C1是异面直线AB1与A1C1的公垂线;
(2)求点A到平面VBC的距离;
(3)求二面角A-VB-C的大小.

查看答案和解析>>

科目:高中数学 来源: 题型:

三棱锥V-ABC的底面ABC的面积为12,顶点V 到底面ABC的距离为3,侧面VAB的面积为9,则点C到侧面VAB的距离为(  )
A、3B、4C、5D、6

查看答案和解析>>

科目:高中数学 来源: 题型:

正三棱锥V-ABC的底面边长为2a,E、F、G、H分别是VA、VB、BC、AC的中点,则四边形EFGH面积的取值范围是(  )
A、(0,+∞)
B、(
3
3
a2,+∞)
C、(
6
3
a2,+∞)
D、(
1
2
a2,+∞)

查看答案和解析>>

科目:高中数学 来源: 题型:

(2013•保定一模)三棱锥V-ABC的底面ABC为正三角形,侧面VAC垂直于底面,VA=VC,已知其正视图(VAC)的面积为
2
3
,则其左视图的面积为(  )

查看答案和解析>>

科目:高中数学 来源: 题型:

如图,正三棱锥V-ABC的底面边长为a,侧棱与底面所成的角等于θ,过底面一边作棱锥的截面,当截面与底面所成二面角为何值时,截面面积最小?并求出最小值.

查看答案和解析>>

同步练习册答案