精英家教网 > 高中数学 > 题目详情
已知
(1)求的夹角θ;
(2)求
(3)若,求△ABC的面积.
【答案】分析:(1)根据两个向量的数量积的值,把这两个向量展开写出有关向量的模长和数量积的表示式,得到两个向量的数量积,代入求夹角的公式得到夹角的余弦值,求出夹角.
(2)利用模长公式做出求模长,这是一个公式的应用.
(3)做出两个向量的夹角,做出三角形的内角,用正弦定理写出三角形的面积的表示形式,代入模长和夹角得到结果.
解答:解:(1)∵,∴4||2-4-3||2=61,
又||=4,||=3,∴64-4-27=61,∴=-6,

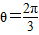
又0≤θ≤π,

(2)
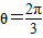
(3)∵的夹角



点评:本题考查向量的夹角模长和正弦定理的应用,本题解题的关键是对于所给的表示式的整理,得到要用的数量积.
练习册系列答案
相关习题

科目:高中数学 来源:2012届江苏南京学大教育专修学校高三五月数学试卷(解析版) 题型:解答题

平面直角坐标系中,已知向量

(1)求之间的关系式;

(2)若,求四边形的面积.

 

查看答案和解析>>

科目:高中数学 来源:2011-2012学年江苏省高三上学期期中考试数学试卷 题型:解答题

平面直角坐标系中,已知向量

(1)求之间的关系式;

(2)若,求四边形的面积.

 

查看答案和解析>>

科目:高中数学 来源:2011-2012学年江苏省高三上学期期中理科数学试卷 题型:解答题

平面直角坐标系中,已知向量

(1)求之间的关系式;

(2)若,求四边形的面积

 

查看答案和解析>>

科目:高中数学 来源:黑龙江省2013届高一下学期期末考试数学(理) 题型:解答题

已知两直线.

(1)求交点坐标;

(2)求过交点且与直线平行的直线方程。

 

查看答案和解析>>

科目:高中数学 来源: 题型:

已知,且

(1)求的夹角;

(2)求

查看答案和解析>>

同步练习册答案