精英家教网 > 高中数学 > 题目详情

从某大学中随机选取8名女大学生,其身高和体重的数据如下表所示:

求根据一名女大学生的身高预报她的体重的回归方程,并预报一名身高为172 cm的女大学生的体重.

答案:
解析:

  解:作散点图,由于问题是根据身高预报体重,因此要求身高与体重的回归直线方程,取身高为自变量x,体重为因变量y,作散点图如图所示.

  

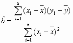
  ≈0.849,=-85.712.

  ∴回归直线方程为=0.849x-85.712.

  所以对于身高172cm女大学生,由回归方程可以预报体重为=0.849×172-85.712=60.316(kg).

  ∴预测身高为172 cm的女大学生的体重约为60.316 kg.


练习册系列答案
相关习题

科目:高中数学 来源: 题型:

从某大学中随机选取8名女大学生,其身高和体重数据如下表所示:
编号 1 2 3 4 5 6 7 8
身高/cm(x) 165 165 157 170 175 165 155 170
体重/kg(y) 48 57 50 54 64 61 43 59
(1)画出散点图,判断x与y是否具有相关关系;

(2)通过计算可知
b
=0.849,
a
=-85.712,请写出y对x的回归直线方程,并计算出编号为2和编号为4的两名学生的体重残差.

查看答案和解析>>

科目:高中数学 来源:设计选修数学-1-2苏教版 苏教版 题型:044

从某大学中随机选取8名女大学生,其身高和体重的数据如下表所示:

根据一名女大学生的身高预报她的体重的回归方程,并预报一名身高为172 cm的女大学生的体重.

查看答案和解析>>

科目:高中数学 来源: 题型:

从某大学中随机选取8名女大学,其身高与体重的数据如下:

编号

1

2

3

4

5

6

7

8

身高(cm)

165

165

157

170

175

165

155

170

体重(kg)

48

57

50

54

64

61

43

59

(1)不画散点图判断体重与身高是否具有相关关系;

(2)如果体重与身高具有相关关系,求回归直线方程,并预测身高为172cm的女大学生的体重.

查看答案和解析>>

科目:高中数学 来源: 题型:

从某大学中随机选取8名女大学,其身高与体重的数据如下:

编号

1

2

3

4

5

6

7

8

身高(cm)

165

165

157

170

175

165

155

170

体重(kg)

48

57

50

54

64

61

43

59

试对其进行残差分析。

查看答案和解析>>

科目:高中数学 来源:2009-2010学年北京市丰台区高二(下)期末数学试卷(文科)(解析版) 题型:解答题

从某大学中随机选取8名女大学生,其身高和体重数据如下表所示:
编号12345678
身高/cm(x)165165157170175165155170
体重/kg(y)4857505464614359
(1)画出散点图,判断x与y是否具有相关关系;

(2)通过计算可知=0.849,=-85.712,请写出y对x的回归直线方程,并计算出编号为2和编号为4的两名学生的体重残差.

查看答案和解析>>

同步练习册答案