精英家教网 > 高中数学 > 题目详情
设α是第二象限角,,则cosα=   
【答案】分析:利用sin2α+cos2α=1,结合α是第二象限角,即可求得cosα.
解答:解:∵sinα=,α是第二象限角,
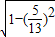
∴cosα=-=-=-
故答案为:-
点评:本题考查同角三角函数间的基本关系,属于基础题.
练习册系列答案
相关习题

科目:高中数学 来源: 题型:

给出下列四个命题:
①函数y=-sin(kπ+x)(k∈Z)是奇函数;
②函数f(x)=tanx的图象关于点(
2
,0)(n∈Z)对称;
③函数f(x)=|sinx|的最小正周期为π;
④设x是第二象限角,则tan
x
2
>cot
x
2
,且sin
x
2
>cos
x
2

其中正确的命题是
①②③
①②③

查看答案和解析>>

科目:高中数学 来源: 题型:013

a 是第二象限角,则sin a seca 等于( )

  A1   Btan2a

  Ccot2a   D-1

查看答案和解析>>

科目:高中数学 来源:数学教研室 题型:013

q是第二象限角,则必有( )

A      B      C      D

查看答案和解析>>

科目:高中数学 来源:江苏金练·高中数学、全解全练、数学必修4 题型:013

设α、β是第二象限角,若sinα>sinβ,则

[  ]

A.secα>secβ

B.cosα>cosβ

C.tanα>tanβ

D.cotα>cotβ

查看答案和解析>>

科目:高中数学 来源: 题型:单选题

设a是第二象限角,则下列各三角函数中值为正的是


  1. A.
    cos(4π-α)
  2. B.
    sin(-α-2π)
  3. C.
    tan(5π-α)
  4. D.
    sin(3π+α)

查看答案和解析>>

同步练习册答案