精英家教网 > 高中数学 > 题目详情

F1、F2分别是双曲线x2-y2=1的两个焦点,O为坐标原点,圆O是以F1F2为直径的圆,直线l:y=kx+b与圆O相切,并与双曲线交于A、B两点.向量在向量方向的投影是p.

(Ⅰ)根据条件求出b和k满足的关系式;

(Ⅱ)当时,求直线l的方程;

(Ⅲ)当时,求△AOB面积的取值范围.

答案:
解析:

  解(1)双曲线的两个焦点分别是,从而圆O的方程为由于直线y=kx+b与圆O相切,所以有

  即为所求.(3分)

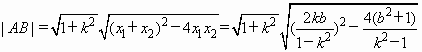
  (2)设则由并整理得,

  

  根据韦达定理,得(5分)

  从而

  

  又由(1)知

  又由于方向上的投影为p,所以

  

  即(8分)

  

  所以直线l的方程为(9分)

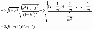
  (3)类似于(2)可得

  即(10分)

  根据弦长公式,得

  

  

  

  

  而2≤m≤4,

  ∴当m=2时

  当m=4时

  因此△AOB面积的取值范围是(14分)


练习册系列答案
相关习题

科目:高中数学 来源: 题型:

(07年宣武区质检一理) 已知F1F2分别是双曲线的左、右焦点,P为双曲线左支上任意一点,若的最小值为8a,则该双曲离心率e的取值范围是             .

查看答案和解析>>

同步练习册答案