精英家教网 > 高中数学 > 题目详情
在正三棱柱ABC-A1B1C1中,若AB=2,A A1=1,则点A到平面A1BC的距离为( )
A.
B.
C.
D.
【答案】分析:要求点A到平面A1BC的距离,可以求三棱锥底面A1BC上的高,由三棱锥的体积相等,容易求得高,即是点到平面的距离.
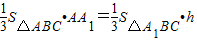
解答:解:设点A到平面A1BC的距离为h,则三棱锥的体积为




故选:B.
点评:本题求点到平面的距离,可以转化为三棱锥底面上的高,用体积相等法,容易求得.“等积法”是常用的求点到平面的距离的方法.
练习册系列答案
相关习题

科目:高中数学 来源: 题型:

如图,在正三棱柱ABC-A1B1C1中,AA1=AB,D是AC的中点.
(1)求证:B1C∥平面A1BD;
(2)求证:平面A1BD⊥平面ACC1A1
(3)求二面角A-A1B-D的余弦值.

查看答案和解析>>

科目:高中数学 来源: 题型:

如图,在正三棱柱ABC-A1B1C1中,所有棱的长度都是1,M是BC边的中点,P是AA1边上的点,且PA=
6
4

(1)求:点P到棱BC的距离;
(2)问:在侧棱CC1上是否存在点N,使得异面直线AB1与MN所成角为45°?若存在,请说明点N的位置;若不存在,请说明理由;
(3)定义:如果平面α经过线段AA′的中点,并与线段AA′垂直,则称点A关于平面α的对称点为点A′.设点A关于平面PBC的对称点为A′,求:点A′到平面AMC1的距离.

查看答案和解析>>

科目:高中数学 来源: 题型:

如图,在正三棱柱ABC-A'B'C'中,AB=2,若二面角C'-AB-C的大小为60°,则点C到平面ABC'的距离为
3
2
3
2

查看答案和解析>>

科目:高中数学 来源:不详 题型:填空题

在正三棱柱ABC-ABC中,AB=3,高为2,则它的外接球上A、B两点的球面距离为______.

查看答案和解析>>

科目:高中数学 来源:2011年四川省绵阳中学高考适应性检测数学试卷(理科)(解析版) 题型:填空题

如图,在正三棱柱ABC-A'B'C'中,AB=2,若二面角C'-AB-C的大小为60°,则点C到平面ABC'的距离为   

查看答案和解析>>

同步练习册答案