精英家教网 > 高中数学 > 题目详情

如图,游客在景点处下山至处有两条路径.一条是从沿直道步行到,另一条是先从沿索道乘缆车到,然后从沿直道步行到.现有甲、乙两位游客从处下山,甲沿匀速步行,速度为.在甲出发后,乙从乘缆车到,在处停留后,再从匀速步行到.假设缆车匀速直线运动的速度为,索道长为,经测量.

(1)求山路的长;

(2)假设乙先到,为使乙在处等待甲的时间不超过分钟,乙步行的速度应控制在什么范围内?

 

【答案】

(1)米;(2)乙步行的速度应控制在内.

【解析】

试题分析:(1)利用同角三角函数的基本关系先求出,再利用内角和定理以及诱导公式、两角和的正弦公式求出的值,最终利用正弦定理求出的长度;(2)利用正弦定理先求出的长度,然后计算甲步行至处所需的时间以及乙从乘缆车到所需的时间,并设乙步行的速度为,根据题中条件列有关的不等式,求出即可.

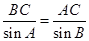
试题解析:(1)∵

,∴

根据

所以山路的长为米;

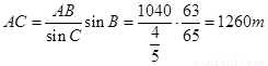
(2)由正弦定理),

甲共用时间:,乙索道所用时间:

设乙的步行速度为,由题意得

整理得

∴为使乙在处等待甲的时间不超过分钟,乙步行的速度应控制在内.

考点:1.同角三角函数的基本关系;2.内角和定理;3.两角和的正弦公式;4.正弦定理

 

练习册系列答案
相关习题

科目:高中数学 来源: 题型:

精英家教网如图,游客在景点A处下山至C处有两条路径.一条是从A沿直道步行到C,另一条是先从A沿索道乘缆车到B,然后从B沿直道步行到C.现有甲、乙两位游客从A处下山,甲沿AC匀速步行,速度为50m/min.在甲出发2min后,乙从A乘缆车到B,在B处停留1min后,再从B匀速步行到C.假设缆车匀速直线运动的速度为130m/min,索道AB长为1040m,经测量,cosA=
12
13
cosC=
3
5

(Ⅰ) 求山路AC的长;
(Ⅱ) 假设乙先到,为使乙在C处等待甲的时间不超过3分钟,乙步行的速度应控制在什么范围内?

查看答案和解析>>

科目:高中数学 来源:2013-2014学年山东省文登市高三上学期期中统考文科数学试卷(解析版) 题型:解答题

如图,游客在景点处下山至处有两条路径.一条是从沿直道步行到,另一条是先从沿索道乘缆车到,然后从沿直道步行到.现有甲、乙两位游客从处下山,甲沿匀速步行,速度为.在甲出发后,乙从乘缆车到,在处停留后,再从匀速步行到.假设缆车匀速直线运动的速度为,索道长为,经测量.

(1)求山路的长;

(2)假设乙先到,为使乙在处等待甲的时间不超过分钟,乙步行的速度应控制在什么范围内?

 

查看答案和解析>>

科目:高中数学 来源:2013年全国普通高等学校招生统一考试数学(江苏卷解析版) 题型:解答题

如图,旅客从某旅游区的景点处下山至处有两种路径.一种是从沿直线步行到,另一种从沿索道乘缆车到,然后从沿直线步行到.现有甲、乙两位游客从处下山,甲沿匀速步行,速度为 m/min,在甲出发2 min后,乙从乘缆车到,在处停留1 min后,再从匀速步行到. 假设缆车匀速直线运动的速度为130 m/min,山路长1260 m ,经测量,.

(1)求索道的长;

(2)问乙出发后多少分钟后,乙在缆车上与甲的距离最短?

(3)为使两位游客在处互相等待的时间不超过3分钟,乙步行的速度应控制在什么范围内?

 

查看答案和解析>>

科目:高中数学 来源: 题型:

如图,游客从某旅游景区的景点处下山至处有两种路径. 一种是从沿直线步行到,另一种是先从沿索道乘缆车到,然后从沿直线步行到.

现有甲、乙两位游客从处下山,甲沿匀速步行,速度为50m/min. 在甲出发2min后,乙从乘缆车到,在处停留1min后,再从匀速步行到. 假设缆车匀速直线运动的速度为130m/min,山路长为1260m,经测量,.

(1) 求索道的长;

(2) 问乙出发多少分钟后,乙在缆车上与甲的距离最短?

(3) 为使两位游客在处相互等待的时间不超过3分钟,乙步行的速度应控制在什么范围内?

查看答案和解析>>

同步练习册答案