精英家教网 > 高中数学 > 题目详情
已知双曲线的一个顶点到它的一条渐近线的距离为1,则m=(    )。
练习册系列答案
相关习题

科目:高中数学 来源: 题型:

已知双曲线的一个顶点为(0,2),且渐近线的方程为y=±x那么该双曲线的标准方程为(  )

查看答案和解析>>

科目:高中数学 来源: 题型:

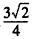
(08年辽宁卷文)已知双曲线的一个顶点到它的一条渐近线的距离为,则

     (A)              (B)         (C)             (D)

查看答案和解析>>

科目:高中数学 来源: 题型:

(辽宁卷文11)已知双曲线的一个顶点到它的一条渐近线的距离为,则(    )

A.1                      B.2                   C.3                     D.4

查看答案和解析>>

科目:高中数学 来源:宁波市2010届高三三模考试理科数学试题 题型:填空题

已知双曲线

一个顶点到它的一条渐近线的距离

,则_____.

 

查看答案和解析>>

科目:高中数学 来源:2008年普通高等学校招生全国统一考试辽宁卷数学 题型:选择题

已知双曲线的一个顶点到它的一条渐近线的距离为,则(    )

A.1        B.2        C.3        D.4

 

查看答案和解析>>

同步练习册答案