精英家教网 > 高中数学 > 题目详情
规定,其中x∈R,m是正整数,且,这是组合数(n、m是正整数,且m≤n)的一种推广.
(1)求的值;
(2)设x>0,当x为何值时,取得最小值?
(3)组合数的两个性质;①;②.是否都能推广到(x∈R,m是正整数)的情形?若能推广,则写出推广的形式并给出证明;若不能,则说明理由.
【答案】分析:(1)由题意可得 ,运算求得结果.
(2)根据 ,再利用基本不等式求得狮子的最小值.
(3)性质①不能推广,通过举反例可知.性质②能推广,它的推广形式是,x∈R,m是正整数.
根据题中的规定化简运算可以证得.
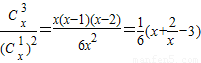
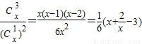
解答:解:(1)由题意可得 .(4分)
(2).(6分)
∵x>0,故有
当且仅当时,等号成立.∴当时,取得最小值.(8分)
(3)性质①不能推广,例如当时,有定义,但无意义; (10分)
性质②能推广,它的推广形式是,x∈R,m是正整数.(12分)
事实上,当m=1时,有
当m≥2时.
===.(14分)
点评:本题主要考查组合数的性质、二项式系数的性质,这是一道综合性较强的题目,对学生的逻辑思维能力、推理论证
能力以及计算能力,均有较好的考查.在课本基本题型(组合数的性质)的基础上有拓广创新,属于中档题.
练习册系列答案
相关习题

科目:高中数学 来源: 题型:

规定,其中x∈R,m是正整数,且=1,这是组合数 (n、m是正整数,且m≤n)的一种推广。

(I)求的值。

(II)组合数的两个性质;①;②。是否都能推广到 (x∈R,m是正整数)的情形?若能推广,则写出推广的形式并给出证明;若不能,则说明理由;

(III)已知组合数是正整数,证明:当x∈Z,m是正整数时,∈Z。

查看答案和解析>>

科目:高中数学 来源: 题型:

规定=,其中x∈R,m是正整数,且,这是组合数(n、m是正整数,且m≤n)的一种推广.

(1)求的值.

(2)设x>0,当x为何值时,取最小值?

(3)我们知道组合数具有如下两个性质:

=;②+=.

是否都能推广到(x∈R,m是正整数)的情形?若能推广,请写出推广的形式,并给出证明;若不能,则说明理由.

(4)已知组合数是正整数,证明当x∈Z,m是正整数时,Z.

 

查看答案和解析>>

科目:高中数学 来源:2014届河北省高二下学期第二次月考理科数学试卷(解析版) 题型:解答题

规定,其中x∈R,m是正整数,且,这是组合数(n、m是正整数,且m≤n)的一种推广.

(1) 求的值;

(2) 设x>0,当x为何值时,取得最小值?

(3) 组合数的两个性质;

.  ②.

是否都能推广到(x∈R,m是正整数)的情形?若能推广,则写出推广的形式并给出证明;若不能,则说明理由.

 

查看答案和解析>>

科目:高中数学 来源:2012年人教A版高中数学选修2-3 1.3二项式定理练习卷(解析版) 题型:解答题

(14分)规定,其中x∈R,m是正整数,且,这是组合数nm是正整数,且mn)的一种推广.

(1) 求的值;

(2) 设x>0,当x为何值时,取得最小值?

(3) 组合数的两个性质;

.  ②.

是否都能推广到x∈R,m是正整数)的情形?若能推广,则写出推广的形式并给出证明;若不能,则说明理由.

 

查看答案和解析>>

科目:高中数学 来源:专项题 题型:解答题

规定,其中x∈R,m是正整数,且,这是组合数(n,m是正整数,且m≤n)的一种推广,
(Ⅰ)求的值;
(Ⅱ)组合数的两个性质:①;②
是否都能推广到(x∈R,m是正整数)的情形?若能推广,请写出推广的形式,并给出明;若不能,则说明理由;
(Ⅲ)已知组合数是正整数,证明:当x∈Z,m是正整数时,∈Z。

查看答案和解析>>

同步练习册答案