精英家教网 > 高中数学 > 题目详情
正方形的一条边AB在直线y=x+4上,顶点C、D在抛物线上,求正方形的边长。
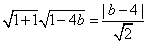
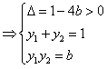
解:设直线:y=x+b与抛物线交于C,D两点,
联立方程



化简,得b=-2或b=-6,
∴边长为
练习册系列答案
相关习题

科目:高中数学 来源: 题型:

正方形的一条边AB在直线y=x+4上,顶点C、D在抛物线y2=x上,求正方形的边长.

查看答案和解析>>

科目:高中数学 来源: 题型:044

正方形的一条边AB在直线y=x4上,顶点CD在抛物线上,求正方形的边长.

查看答案和解析>>

科目:高中数学 来源:不详 题型:解答题

正方形的一条边AB在直线y=x+4上,顶点C、D在抛物线y2=x上,求正方形的边长.

查看答案和解析>>

科目:高中数学 来源:2008-2009学年广东省实验中学高二(上)模块考试数学试卷(理科)(选修2-1)(解析版) 题型:解答题

正方形的一条边AB在直线y=x+4上,顶点C、D在抛物线y2=x上,求正方形的边长.

查看答案和解析>>

同步练习册答案