已知Sn是数列{an}的前n项和,an=Sn-1+2(n≥2),a1=2.
(1)证明{an}是等比数列,并求{an}的通项公式;
(2)已知Tn=a1+2a2+3a3+…+nan,求Tn.
【答案】
分析:(1)由a
n=S
n-1+2可得a
n+1=S
n+2,当n≥2时,a
n+1-a
n=S
n-S
n-1=a
n,结合=2a
1可得a
n+1=2a
n对应任意的n≥1都成立;
(2)由T
n=1×2+2×4+3×8+…+n•2
n考虑利用错位相减可求答案.
解答:解:(1)∵a
n=S
n-1+2(n≥2)
∴a
n+1=S
n+2
当n≥2时,a
n+1-a
n=S
n-S
n-1=a
n∴a
n+1=2a
n∵a
2=S
1+2=4=2a
1∴a
n+1=2a
n对应任意的n≥1都成立
∴数列为等比数列首项为2公比为2,a
n=2
n(2)∵T
n=a
1+2a
2+…+na
n∴T
n=1×2+2×4+3×8+…+n•2
n∴2T
n=1×4+2×8+…+n•2
n+1两式相减可得,-T
n=2+4+8+…+2
n-n•2
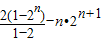
n+1=

∴T
n=(n-2)•2
n+1+2
点评:本题主要考查了由数列的递推公式求解数列的通项公式及等比数列的定义在证明等比 数列中的应用,解答本题的难点在与错误相减求数列的和.