精英家教网 > 高中数学 > 题目详情

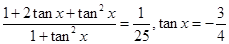
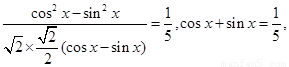
已知,()则的值等于(     )

A.              B.              C.2               D.

 

【答案】

A

【解析】

试题分析:因为,,所以,

,由

故选A.

考点:三角函数和差倍半公式

 

练习册系列答案
相关习题

科目:高中数学 来源: 题型:

已知,且,则

值等于                            ()

A.                  B.                C.            D.

查看答案和解析>>

科目:高中数学 来源: 题型:

已知等式成立,则

的值等于        

查看答案和解析>>

科目:高中数学 来源:2014届福建省、二中高二上学期期末联考文科数学卷(解析版) 题型:选择题

已知,若,则的值等于(      )

A.              B.              C.              D.

 

查看答案和解析>>

科目:高中数学 来源:2013届福建省高二下学期期末理科数学试卷(解析版) 题型:填空题

.已知等式成立,则的值等于                 .

 

查看答案和解析>>

科目:高中数学 来源: 题型:

已知10α=10β=,则的值等于_____________.

查看答案和解析>>

同步练习册答案