精英家教网 > 高中数学 > 题目详情
设函数y=f(x)的定义域为全体R,当x<0时,f(x)>1,且对任意的实数x,y∈R,有f(x+y)=f(x)f(y)成立,数列{an}满足a1=f(0),且(n∈N*
(1)求证:y=f(x)是R上的减函数.
(2)求证:{an}是等差数列,并求通项an
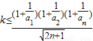
(3)若不等式对一切n∈N*均成立,求k的最大值.
【答案】分析:(1)令x=-1,?y=0,代入题设等式中求得f(0)=1,进而求得a1,先当x>0时根据f(0)=f(-x)•f(x)推断出0<f(x)<1,设x1,?x2∈R且x1<x2,进而可知0<f(x2-x1)<1,利用f(x+y)=f(x)f(y)求得f(x2)-f(x1)<0,根据函数单调性的定义推断出函数为减函数.
(2)根据由和f(x+y)=f(x)f(y)整理求得an+1-an=2,进而可判断出{an}是以1为首项,2为公差的等差数列.进而根据等差数列通项公式求得an
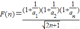
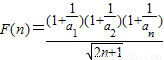
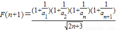
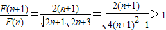
(3)把题设中的不等式整理成,设出,进而表示出F(n+1),进而求得进而推断出F(n)为关于n的单调增函数,进而根据求得k的最大值.
解答:解:(1)令x=-1,?y=0,得f(-1)=f(-1)•f(0),
由题意知f(-1)≠0,所以f(0)=1,故a1=f(0)=1.
当x>0时,-x<0,f(0)=f(-x)•f(x)=1,进而得0<f(x)<1.
设x1,?x2∈R且x1<x2,则x2-x1>0,?0<f(x2-x1)<1,f(x2)-f(x1)=f(x1+(x2-x1))-f(x1)=f(x1)[f(x2-x1)-1]<0.
即f(x2)<f(x1),所以y=f(x)是R上的减函数.

(2)由得f(an+1)f(-2-an)=1,
所以f(an+1-an-2)=f(0).
因为y=f(x)是R上的减函数,所以an+1-an-2=0,
即an+1-an=2,
所以{an}是以1为首项,2为公差的等差数列.
所以an=1+(n-1)×2=2n-1.

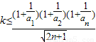
(3)由对一切n∈N*均成立.
对一切n∈N*均成立.

知F(n)>0且

故F(n)为关于n的单调增函数,
所以,k的最大值为
点评:本题主要考查了数列与函数的综合.利用了函数的单调性和奇偶性来解决数列的问题.
练习册系列答案
相关习题

科目:高中数学 来源: 题型:

设函数y=f(x)的定义域为R,并且满足f(x+y)=f(x)+f(y),f(
13
)=1
,且当x>0时,f(x)>0.
(1)求f(0)的值;
(2)判断函数的奇偶性;
(3)如果f(x)+f(2+x)<2,求x取值范围.

查看答案和解析>>

科目:高中数学 来源: 题型:

设函数y=f(x)的定义域为全体R,当x<0时,f(x)>1,且对任意的实数x,y∈R,有f(x+y)=f(x)f(y)成立,数列{an}满足a1=f(0),且f(an+1)=
1
f(
-an
2an+1
)
(n∈N*
(Ⅰ)求证:y=f(x)是R上的减函数;          
(Ⅱ)求数列{an}的通项公式;
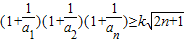
(Ⅲ)若不等式
k
(1+a1)(1+a2)…(1+an)
-
1
2n+1
≤0
对一切n∈N*均成立,求k的最大值.

查看答案和解析>>

科目:高中数学 来源: 题型:

设函数y=f(x)的定义域为R+,若对于给定的正数k,定义函数:fk(x)=
k,f(x)≤k
f(x),f(x)>k
,则当函数f(x)=
1
x
,k=1
时,函数fk(x)的图象与直线x=
1
4
,x=2,y=0围成的图形的面积为(  )

查看答案和解析>>

科目:高中数学 来源: 题型:

(2007•闵行区一模)(文)设函数y=f(x)的反函数是y=f-1(x),且函数y=f(x)过点P(2,-1),则f-1(-1)=
2
2

查看答案和解析>>

科目:高中数学 来源: 题型:

(2008•南汇区二模)设函数y=f(x)的定义域为R,对任意实数x,y都有f(x+y)=f(x)+f(y),当x>0时f(x)<0且f(3)=-4.
(1)求证:y=f(x)为奇函数;
(2)在区间[-9,9]上,求y=f(x)的最值.

查看答案和解析>>

同步练习册答案