精英家教网 > 高中数学 > 题目详情
已知,且(e为自然对数的底数).
(1)求a与b的关系;
(2)若f(x)在其定义域内为增函数,求a的取值范围;
(3)证明:
(提示:需要时可利用恒等式:lnx≤x-1)
【答案】分析:(1)直接利用 ,可得 ae--2=,化简可得a与b的关系.
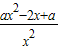
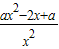
(2)求出f′(x)=,令h(x)=ax2-2x+a.要使g(x)在(0,+∞)为增函数,h(x)≥0恒成立,即a≥ 在(0,+∞)上恒成立,而由基本不等式可得的最大值等于1,所以a≥1.
(3)先证:lnx-x+1≤0  (x>0),可得 ≤1-,令x=n2(1-),
 可得  ++…+ )<[n-1-()]
=[n-1-(  )],化简即得不等式的右边.
解答:解:(1)由题意,∴ae--2=
∴(a-b)(e+)=0,∴a=b.
(2)由(1)知:,(x>0),∴f′(x)=a+-=
令h(x)=ax2-2x+a.要使g(x)在(0,+∞)为增函数,只需h(x)在(0,+∞)满足:h(x)≥0恒成立.
即ax2-2x+a≥0,a≥ 在(0,+∞)上恒成立.
又∵0<=≤1,x>0,所以a≥1.
(3)证明:先证:lnx-x+1≤0  (x>0),设K(x)=lnx-x+1,则K′(x)=-1=
当x∈(0,1)时,k′(x)>0,∴k(x)为单调递增函数;
当x∈(1,∞)时,k′(x)<0,∴k(x)为单调递减函数;
∴x=1为k(x)的极大值点,∴k(x)≤k(1)=0.  即lnx-x+1≤0,∴lnx≤x-1.
由上知 lnx≤x-1,又x>0,∴≤1-
∵n∈N+,n≥2,令x=n2,得 ≤1-,∴(1-),
++…+ )
=[n-1-()]<[n-1-()]
=[n-1-( ++… )]=[n-1-(  )]=
故要证的不等式成立.
点评:本题考查利用导数研究函数的单调性,用放缩法证明不等式,体现了转化的数学思想,其中,用放缩法证明不等式 是解题的难点.
练习册系列答案
相关习题

科目:高中数学 来源: 题型:

已知函数f(x)=x2,g(x)=2elnx(x>0)(e为自然对数的底数).
(1)当x>0时,求证:f′(x)+g′(x)≥4
e

(2)求F(x)=f(x)-g(x)(x>0)的单调区间及最小值;
(3)试探究是否存在一次函数y=kx+b(k,b∈R),使得f(x)≥kx+b且g(x)≤kx+b对一切x>0恒成立,若存在,求出该一次函数的表达式;若不存在,请说明理由.

查看答案和解析>>

科目:高中数学 来源: 题型:

已知函数f(x)=ax+xlnx的图象在点x=e(e为自然对数的底数)处的切线斜率为3.
(1)求实数a的值;
(2)若k∈Z,且k<
f(x)x-1
对任意x>1恒成立,求k的最大值;
(3)当n>m≥4时,证明(mnnm>(nmmn

查看答案和解析>>

科目:高中数学 来源: 题型:

若存在实数k,b,使得函数f(x)和g(x)对其定义域上的任意实数x同时满足:f(x)≥kx+b且g(x)≤kx+b,则称直线:l:y=kx+b为函数f(x)和g(x)的“隔离直线”.已知f(x)=x2,g(x)=2elnx(其中e为自然对数的底数).试问:
(1)函数f(x)和g(x)的图象是否存在公共点,若存在,求出交点坐标,若不存在,说明理由;
(2)函数f(x)和g(x)是否存在“隔离直线”?若存在,求出此“隔离直线”的方程;若不存在,请说明理由.

查看答案和解析>>

科目:高中数学 来源: 题型:

若存在实常数k和b,使得函数F(x)和G(x)对其公共定义域上的任意实数x都满足:F(x)≥kx+b和G(x)≤kx+b恒成立,则称此直线y=kx+b为F(x)和G(x)的“隔离直线”.已知函数h(x)=x2,m(x)=2elnx(e为自然对数的底数),φ(x)=x-2,d(x)=-1.
有下列命题:
①f(x)=h(x)-m(x)在x∈(0,
e
)
递减;
②h(x)和d(x)存在唯一的“隔离直线”;
③h(x)和φ(x)存在“隔离直线”y=kx+b,且b的最大值为-
1
4

④函数h(x)和m(x)存在唯一的隔离直线y=2
e
x-e

其中真命题的个数(  )

查看答案和解析>>

科目:高中数学 来源: 题型:

已知函数f(x)=xlnx,(x>0,且x≠1)
(Ⅰ)求函数r(x)=
1f(x)
的单调区间;
(Ⅱ)若对任意的n∈N+,都有an>0,且a1+a2+…+a2013=2013e(e为自然对数的底),求f(a1)+f(a2)+…+f(a2013)的最小值.

查看答案和解析>>

同步练习册答案