精英家教网 > 高中数学 > 题目详情
如图,直角梯形OABC位于直线x=t(0≤t≤5)右侧的图形面积为f(t).
(1)试求函数f(t)的解析式;  
(2)画出函数y=f(t)的图象.

【答案】分析:(1)分情况讨论:当0≤t≤2时,所求面积等于四边形OABC的面积减去一三角形面积;当2<t≤5时,所求面积等于一矩形面积.
(2)根据各段函数表达式的特征分别画出即可.
解答:(1)设直线x=t与x轴交于点D,与线段OA交于点E,与线段AB交于点F,
则SOCBA=×2×2+(5-2)×2=8,
①当0≤t≤2时,
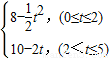
②当2<t≤5时,f(t)=SDCBF=(5-t)×2=10-2t,
所以f(t)=
(2)y=f(t)的图象如图所示:.
点评:本题考查函数解析式的求法及简单函数的图象,注意分类讨论思想在本题中的运用.
练习册系列答案
相关习题

科目:高中数学 来源: 题型:

精英家教网如图直角梯形OABC中,∠COA=∠OAB=
π
2
,OC=2,OA=AB=1,SO⊥平面OABC,SO=1,以OC、OA、OS分别为x轴、y轴、z轴建立直角坐标系O-xyz.
(1)求
SC
OB
的夹角α
的大小(用反三角函数表示);
(2)设
n
=(1,p,q),满足
n
⊥平面SBC,求:
n
的坐标;
②OA与平面SBC的夹角β(用反三角函数表示);
③O到平面SBC的距离.
(3)设
k
=(1,r,s)满足
k
SC
k
OB
.填写:

k
的坐标为
 

②异面直线SC、OB的距离为
 
.(注:(3)只要求写出答案)

查看答案和解析>>

科目:高中数学 来源: 题型:

精英家教网如图所示在直角梯形OABC中,∠COA=∠OAB=
π2
,OA=OS=AB=1,OC=4,
点M是棱SB的中点,N是OC上的点,且ON:NC=1:3,以OC,OA,OS所在直线
建立空间直角坐标系O-xyz.
(1)求异面直线MN与BC所成角的余弦值;
(II)求MN与面SAB所成的角的正弦值.

查看答案和解析>>

科目:高中数学 来源: 题型:

如图所示,在直角梯形OABC中,∠COA=∠OAB=
π2
,OA=OS=AB=1,OC=2,点M是棱SB的中点,N是OC上的点,且ON:NC=1:3.
(1)求异面直线MN与BC所成的角;
(2)求MN与面SAB所成的角.

查看答案和解析>>

科目:高中数学 来源:2010年江苏省南京十三中高考数学模拟试卷(解析版) 题型:解答题

如图所示在直角梯形OABC中,∠COA=∠OAB=,OA=OS=AB=1,OC=4,
点M是棱SB的中点,N是OC上的点,且ON:NC=1:3,以OC,OA,OS所在直线
建立空间直角坐标系O-xyz.
(1)求异面直线MN与BC所成角的余弦值;
(II)求MN与面SAB所成的角的正弦值.

查看答案和解析>>

科目:高中数学 来源:2008年江苏省苏州五中高三调研数学试卷(解析版) 题型:解答题

如图所示在直角梯形OABC中,∠COA=∠OAB=,OA=OS=AB=1,OC=4,
点M是棱SB的中点,N是OC上的点,且ON:NC=1:3,以OC,OA,OS所在直线
建立空间直角坐标系O-xyz.
(1)求异面直线MN与BC所成角的余弦值;
(II)求MN与面SAB所成的角的正弦值.

查看答案和解析>>

同步练习册答案