精英家教网 > 高中数学 > 题目详情

某几何体的三视图如图所示,当xy最大时,该几何体的体积为(  )

A. B.       C. D.

 

【答案】

A

【解析】

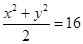
试题分析:由三视图可知原几何体是一个三棱锥,相当于长方体中的三棱锥A-BCD,如图所示,从图中可得,当x=y时,取“=”,此时x=y=4,VA-BCD==,故选A.

考点:1.三视图;2.几何体的体积.

 

练习册系列答案
相关习题

科目:高中数学 来源: 题型:

已知某几何体的三视图如图,则该几何体的表面积是
 

精英家教网

查看答案和解析>>

科目:高中数学 来源: 题型:

某几何体的三视图如图,它的体积为(  )

查看答案和解析>>

科目:高中数学 来源: 题型:

(2012•大连二模)某几何体的三视图如图所示,根据图中尺寸(单位:m),可得该几何体的体积为
32
3
32
3
m3

查看答案和解析>>

科目:高中数学 来源: 题型:

(2012•烟台二模)已知某几何体的三视图如图所示,其中,正视图,侧视图均是由三角形与半圆构成,俯视图由圆与内接三角形构成,根据图中的数据可得此几何体的体积为
1+
2
π
6
1+
2
π
6

查看答案和解析>>

科目:高中数学 来源: 题型:

已知某几何体的三视图如图所示,则几何体的体积为(  )

查看答案和解析>>

同步练习册答案