已知Sn是数列{an}的前n项和,若a1=1,a2=3,an+2=2an+1-an+2(n=1,2,…),则Sn= .
【答案】
分析:由a
n+2=2a
n+1-a
n+2(n=1,2,…),变形为a
n+2-a
n+1=a
n+1-a
n+2,令b
n=a
n+1-a
n,则b
n+1=b
n+2,利用等差数列的通项公式即可得出b
n.可得a
n+1-a
n=2n,利用“累加求和”公式a
n=(a
n-a
n-1)+(a
n-1-a
n-2)+…+(a
2-a
1)+a
1即可得出a
n.进而利用

及其等差数列的前n项和公式即可得出S
n.
解答:解:∵a
n+2=2a
n+1-a
n+2(n=1,2,…),∴a
n+2-a
n+1=a
n+1-a
n+2,
令b
n=a
n+1-a
n,则b
n+1=b
n+2,
∴数列{b
n}是以b
1=a
2-a
1=3-1=2为首项,2为公差的等差数列.
∴b
n=2+(n-1)×2=2n.
∴a
n+1-a
n=2n,
∴a
n=(a
n-a
n-1)+(a
n-1-a
n-2)+…+(a
2-a
1)+a
1=2(n-1)+2(n-2)+…+2×1+1
=

=n
2-n+1.
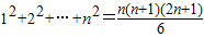
∴S
n=(1
2+2
2+…+n
2)-(1+2+…+n)+n
=


+n
=

.
故答案为

.
点评:正确变形转化为等差数列、“累加求和”公式及其利用

、等差数列的前n项和公式等是解题的关键.