精英家教网 > 高中数学 > 题目详情
在平面直角坐标系xOy中,已知⊙M经过点F1(0,-c),F2(0,c),A(c,0)三点,其中c>0,
(1)求⊙M的标准方程(用含c的式子表示);
(2)已知椭圆(其中a2-b2=c2)的左、右顶点分别为D、B,⊙M与x轴的两个交点分别为A、C,且A点在B点右侧,C点在D点右侧,
①求椭圆离心率的取值范围;
②若A、B、M、O、C、D(O为坐标原点)依次均匀分布在x轴上,问直线MF1与直线DF2的交点是否在一条定直线上?若是,请求出这条定直线的方程;若不是,请说明理由.
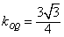
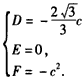
解:(1)设⊙M的方程为x2+y2+Dx+Ey+F=0,
则由题设,得,解得
⊙M的方程为
⊙M的标准方程为
(2)①⊙M与x轴的两个交点
又B(b,0),D(-b,0),
由题设,即,所以
解得,即
所以椭圆离心率的取值范围为
②由(1),得,由题设,得

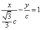
∴直线MF1的方程为,①
直线DF2的方程为,②
由①②,得直线MF1与直线DF2的交点,易知为定值,
∴直线MF1与直线DF2的交点Q在定直线上.
练习册系列答案
相关习题

科目:高中数学 来源: 题型:

在平面直角坐标系xoy中,已知圆心在直线y=x+4上,半径为2
2
的圆C经过坐标原点O,椭圆
x2
a2
+
y2
9
=1(a>0)
与圆C的一个交点到椭圆两焦点的距离之和为10.
(1)求圆C的方程;
(2)若F为椭圆的右焦点,点P在圆C上,且满足PF=4,求点P的坐标.

查看答案和解析>>

科目:高中数学 来源: 题型:

如图,在平面直角坐标系xOy中,锐角α和钝角β的终边分别与单位圆交于A,B两点.若点A的横坐标是
3
5
,点B的纵坐标是
12
13
,则sin(α+β)的值是
16
65
16
65

查看答案和解析>>

科目:高中数学 来源: 题型:

在平面直角坐标系xOy中,若焦点在x轴的椭圆
x2
m
+
y2
3
=1
的离心率为
1
2
,则m的值为
4
4

查看答案和解析>>

科目:高中数学 来源: 题型:

(2013•泰州三模)选修4-4:坐标系与参数方程
在平面直角坐标系xOy中,已知A(0,1),B(0,-1),C(t,0),D(
3t
,0)
,其中t≠0.设直线AC与BD的交点为P,求动点P的轨迹的参数方程(以t为参数)及普通方程.

查看答案和解析>>

科目:高中数学 来源: 题型:

(2013•东莞一模)在平面直角坐标系xOy中,已知椭圆C:
x2
a2
+
y2
b2
=1(a>b>0)
的左焦点为F1(-1,0),且椭圆C的离心率e=
1
2

(1)求椭圆C的方程;
(2)设椭圆C的上下顶点分别为A1,A2,Q是椭圆C上异于A1,A2的任一点,直线QA1,QA2分别交x轴于点S,T,证明:|OS|•|OT|为定值,并求出该定值;
(3)在椭圆C上,是否存在点M(m,n),使得直线l:mx+ny=2与圆O:x2+y2=
16
7
相交于不同的两点A、B,且△OAB的面积最大?若存在,求出点M的坐标及对应的△OAB的面积;若不存在,请说明理由.

查看答案和解析>>

同步练习册答案