精英家教网 > 高中数学 > 题目详情
已知函数f(x)=x2+(2a-1)x-3,
(Ⅰ)当a=2,x∈[-2,3]时,求函数f(x)的值域;
(Ⅱ)若函数f(x)在[-1,3]上的最大值为1,求实数a的值.
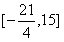
解:(Ⅰ)当a=2时,f(x)=x2+3x-3,x∈[-2,3],
对称轴
,f(x)max=f(3)=15,
∴值域为
(Ⅱ)对称轴为
i)当,即时,f(x)max=f(3)=6a+3,
∴6a+3=1,即满足题意;
ii)当,即时,f(x)max=f(-1)=-2a-1,
∴-2a-1=1,即a=-1满足题意;
综上可知或-1.
练习册系列答案
相关习题

科目:高中数学 来源: 题型:

已知函数f(x)=x-2m2+m+3(m∈Z)为偶函数,且f(3)<f(5).
(1)求m的值,并确定f(x)的解析式;
(2)若g(x)=loga[f(x)-ax](a>0且a≠1),是否存在实数a,使g(x)在区间[2,3]上的最大值为2,若存在,请求出a的值,若不存在,请说明理由.

查看答案和解析>>

科目:高中数学 来源: 题型:

(2011•上海模拟)已知函数f(x)=(
x
a
-1)2+(
b
x
-1)2,x∈(0,+∞)
,其中0<a<b.
(1)当a=1,b=2时,求f(x)的最小值;
(2)若f(a)≥2m-1对任意0<a<b恒成立,求实数m的取值范围;
(3)设k、c>0,当a=k2,b=(k+c)2时,记f(x)=f1(x);当a=(k+c)2,b=(k+2c)2时,记f(x)=f2(x).
求证:f1(x)+f2(x)>
4c2
k(k+c)

查看答案和解析>>

科目:高中数学 来源:浙江省东阳中学高三10月阶段性考试数学理科试题 题型:022

已知函数f(x)的图像在[a,b]上连续不断,f1(x)=min{f(t)|a≤t≤x}(x∈[a,b]),f2(x)=max{f(t)|a≤t≤x}(x∈[a,b]),其中,min{f(x)|x∈D}表示函数f(x)在D上的最小值,max{f(x)|x∈D}表示函数f(x)在D上的最大值,若存在最小正整数k,使得f2(x)-f1(x)≤k(x-a)对任意的x∈[a,b]成立,则称函数f(x)为[a,b]上的“k阶收缩函数”.已知函数f(x)=x2,x∈[-1,4]为[-1,4]上的“k阶收缩函数”,则k的值是_________.

查看答案和解析>>

科目:高中数学 来源:上海模拟 题型:解答题

已知函数f(x)=(
x
a
-1)2+(
b
x
-1)2,x∈(0,+∞)
,其中0<a<b.
(1)当a=1,b=2时,求f(x)的最小值;
(2)若f(a)≥2m-1对任意0<a<b恒成立,求实数m的取值范围;
(3)设k、c>0,当a=k2,b=(k+c)2时,记f(x)=f1(x);当a=(k+c)2,b=(k+2c)2时,记f(x)=f2(x).
求证:f1(x)+f2(x)>
4c2
k(k+c)

查看答案和解析>>

科目:高中数学 来源:2009-2010学年河南省许昌市长葛三高高三第七次考试数学试卷(理科)(解析版) 题型:选择题

已知函数f(x)、g(x),下列说法正确的是( )
A.f(x)是奇函数,g(x)是奇函数,则f(x)+g(x)是奇函数
B.f(x)是偶函数,g(x)是偶函数,则f(x)+g(x)是偶函数
C.f(x)是奇函数,g(x)是偶函数,则f(x)+g(x)一定是奇函数或偶函数
D.f(x)是奇函数,g(x)是偶函数,则f(x)+g(x)可以是奇函数或偶函数

查看答案和解析>>

同步练习册答案