精英家教网 > 高中数学 > 题目详情
已知向量
(1)求证:
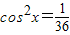
(2),求cosx的值.
【答案】分析:(1)先求出和 ,计算( -)•( +)的值.
(2)由 ,化简可求出cos2x的值,可求出 ,再根据x的范围,求出cosx的值.
解答:解:(1)∵




(2)∵
=
=
=
∴2+2cos2x=,即cos2x=




点评:本题考查同角三角函数的基本关系,二倍角的余弦公式的应用,两个向量的数量积、向量的模的求法.
练习册系列答案
相关习题

科目:高中数学 来源:2013-2014学年湖南常德市高三上学期期末市协作考试文科数学试卷(解析版) 题型:解答题

已知向量 .

1)求的最小正周期;

2)若A为等腰三角形ABC的一个底角,求的取值范围.

 

查看答案和解析>>

科目:高中数学 来源:2010-2011学年浙江省杭州市学军中学高三(上)期中数学试卷(理科)(解析版) 题型:解答题

已知向量=
(1)求函数g(x)的解析式.
(2)若集合M={f(x)|f(x)+f(x+2)=f(x+1),x∈R},试判断g(x)与集合M的关系.
(3)记A={x|a≥2g(x)},,若(∁RA)∪(∁RB)=∅,求实数a的取值范围.

查看答案和解析>>

科目:高中数学 来源:2012-2013学年山东省济宁市高三上学期期中考试文科数学试卷(解析版) 题型:解答题

(本小题满分10分)

已知向量设函数

(1)求的最小正周期与单调递减区间;

(2)在△ABC中分别是角A、B、C的对边,若△ABC的面积为,求的值.

 

查看答案和解析>>

科目:高中数学 来源:2012届江苏南京学大教育专修学校高三五月数学试卷(解析版) 题型:解答题

平面直角坐标系中,已知向量

(1)求之间的关系式;

(2)若,求四边形的面积.

 

查看答案和解析>>

科目:高中数学 来源:2011-2012学年广东省高三第一次模拟考试文科数学 题型:解答题

.(本小题满分12分)

    已知向量,且

 

    (1)求的解析式和它的最小正周期;

    (2)求函数的值域。

 

查看答案和解析>>

同步练习册答案