精英家教网 > 高中数学 > 题目详情
已知椭圆的离心率,过点A(0,-b)和B(a,0)的直线与原点的距离为
(1)求椭圆的方程;
(2)设F1、F2为椭圆的左、右焦点,过F2作直线交椭圆于P、Q两点,求△PQF1的内切圆半径r的最大值。
解:(1)
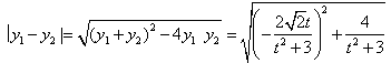
(2)设PQ:代入,并整理,得


,则


,即t2=1时,


练习册系列答案
相关习题

科目:高中数学 来源: 题型:

(本小题满分12分)已知椭圆:的离心率,过点的直线与椭圆交于两点,且,求面积的最大值及取得最大值时椭圆的方程.

查看答案和解析>>

科目:高中数学 来源: 题型:

已知椭圆的离心率,过Aa,0),

B(0,-b),两点的直线到原点的距离是

⑴求椭圆的方程 ; 

⑵已知直线ykx+1(k0)交椭圆于不同的两点EF,且EF都在以B为圆心的圆上,求k的值.

查看答案和解析>>

科目:高中数学 来源:2012-2013学年陕西长安一中等五校高三第二次模拟考试理科数学试卷(解析版) 题型:解答题

已知椭圆:的离心率为,过右焦点且斜率为的直线交椭圆两点,为弦的中点,为坐标原点.

(1)求直线的斜率

(2)求证:对于椭圆上的任意一点,都存在,使得成立.

 

查看答案和解析>>

科目:高中数学 来源:2010-2011学年浙江省宁波市八校高三联考考试数学理卷 题型:解答题

(本小题满分15分)

已知椭圆的离心率,过点的直线与原点的距离为.         

(1)求椭圆的方程;

(2)设为椭圆的左、右焦点,过作直线交椭圆于两点,求的内切圆半径的最大值.

 

查看答案和解析>>

科目:高中数学 来源:2009-2010学年广州市七区联考高二数学(文)下学期期末监测 题型:填空题

已知椭圆的离心率,过左焦点的直线交椭圆于两点,椭圆的右焦点为,则的周长是     ﹡    .则可以输出的函数是     ﹡   

 

查看答案和解析>>

同步练习册答案