精英家教网 > 高中数学 > 题目详情

已知圆锥的底面半径为R,高为3R,在它的所有内接圆柱中,全面积的最大值是(  )

A.2πR2            B.πR2

C.πR2            D.πR2

 

【答案】

B

【解析】

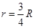
试题分析:设内接圆柱的底面半径为,高为,全面积为,则有

时,取最大值

故答案为:

考点:实际问题中的最值问题.

 

练习册系列答案
相关习题

科目:高中数学 来源: 题型:

已知圆锥的底面半径为R,高为3R,在它的所有内接圆柱中,全面积的最大值是(  )
A、2πR2
B、
9
4
πR2
C、
8
3
πR2
D、
3
2
πr2

查看答案和解析>>

科目:高中数学 来源: 题型:

已知圆锥的底面半径为1,且它的侧面展开图是一个半圆,则这个圆锥的体积为(  )

查看答案和解析>>

科目:高中数学 来源: 题型:

已知圆锥的底面半径为r,高为h,正方体ABCD-A′B′C′D′内接于圆锥,求这个正方体的棱长.

查看答案和解析>>

科目:高中数学 来源: 题型:

已知圆锥的底面半径为3,母线长为12,那么圆锥侧面展开图所成扇形的圆心角为(  )
A、180°B、120°C、90°D、135°

查看答案和解析>>

科目:高中数学 来源: 题型:

已知圆锥的底面半径为3,体积是12π,则圆锥侧面积等于
 

查看答案和解析>>

同步练习册答案