精英家教网 > 高中数学 > 题目详情
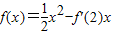
已知函数
(I)求函数f(x)的解析式;
(II)若对于任意x∈(0,+∞),都有f(x)+g(x)≤a成立,求实数a的取值范围;
(III)设x1,x2,a1,a2>0,且a1+a2=1,求证:a1lnx1+a2lnx2≤ln(a1x1+a2x2).
【答案】分析:(I)欲求函数f(x)的解析式,根据题意,即求出其中的f'(2)的值,故只须对函数求导后令x=2即可;
(II)设F(x)=f(x)+g(x),对于任意x∈(0,+∞),都有f(x)+g(x)≤a成立,只须a≥F(x)max即可,利用导数求函数F(x)的最大值,则实数a的取值范围可求.
(III)由(II),得F(x)=lnx-x≤-1,即lnx≤x-1,再分别令,后利用不等式的性质两式相加,得到一个不等关系式,化简即可证出结论.
解答:解:(I)因为
所以f′(x)=x-f′(2).(2分)
令x=2,得f′(2)=1,
所以f(x)=.(4分)
(II)解:设F(x)=f(x)+g(x)=lnx-x,
则F′,(5分)
令F′(x)=0,解得x=1.(6分)
当x变化时,F(x)与F′(x)的变化情况如下表:
x(0,1)1(1,+∞)
f′(x)+-
f(x)极大值
所以当x=1时,F(x)max=F(1)=-1.(9分)
因为对于任意x∈(0,+∞),都有f(x)+g(x)≤a成立,
所以a≥-1.(10分)
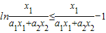
(III)证明:由(II),得F(x)=lnx-x≤-1,即lnx≤x-1,
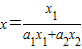
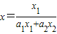
,得
,得,(11分)
所以
因为a1+a2=1,
所以

所以a1lnx1-a1ln(a1x1+a2x2)+a2lnx2-a2ln(a1x1+a2x2)≤0,
即a1ln1+a2lnx2≤(a1+a2)ln(a1x1+a2x2),
所以a1lnx1+a2lnx2≤ln(a1x1+a2x2).(14分)
点评:本题考查了利用导数研究函数的单调性,函数的导函数在某一区间上大于0,原函数是增函数,导函数小于0,原函数是减函数,考查了利用导数求函数在闭区间上的最值,考查了分离变量法,是中档题.
练习册系列答案
相关习题

科目:高中数学 来源: 题型:

(09年华师一附中期中检测)(13分)

已知函数,其中

     (I)求的反函数及反函数的定义域A

       (II)设B={|lg>lg(2xa-5)}, 若, 求实数a的取值范围。

查看答案和解析>>

科目:高中数学 来源: 题型:

已知函数

(I)求函数f(x)的解析式;

(II)若对于任意x∈(0,+∞),都有f(x)+g(x)≤a成立,求实数a的取值范围;

(III)设x1,x2,a1,a2>0,且a1+a2=1,求证:a1lnx1+a2lnx2≤ln(a1x1+a2x2).

查看答案和解析>>

科目:高中数学 来源: 题型:

已知函数

(I)求函数f(x)的解析式;

(II)若对于任意x∈(0,+∞),都有f(x)+g(x)≤a成立,求实数a的取值范围;

(III)设x1,x2>0,a1,a2∈[0,1],且a1+a2=1,求证:

查看答案和解析>>

科目:高中数学 来源:2012-2013学年北京市西城区(北区)高二(下)期末数学试卷(理科)(解析版) 题型:解答题

已知函数
(I)求函数f(x)的解析式;
(II)若对于任意x∈(0,+∞),都有f(x)+g(x)≤a成立,求实数a的取值范围;
(III)设x1,x2>0,a1,a2∈[0,1],且a1+a2=1,求证:

查看答案和解析>>

科目:高中数学 来源:2014届北京市朝阳区高一下学期期末统一考试数学试卷(解析版) 题型:解答题

已知函数

(I)求的最小正周期和值域;

(II)若的一个零点,求的值。

 

查看答案和解析>>

同步练习册答案