精英家教网 > 高中数学 > 题目详情
已知函数f(x)=在区间[m,n]上为增函数,
(I)若m=0,n=1时,求实数a的取值范围;
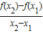
(Ⅱ)若f(m)f(n)=-4.则当f(n)-f(m)取最小值时,
(i)求实数a的值;
(ii)若P(x1,y1),Q(x2,y2)(a<x1<x2<n)是f(x)图象上的两点,且存在实数x∈(a,n)使得f′(x)=,证明:x1<x<x2
【答案】分析:(I)由题意可得可得 f′(x)== 在区间[0,1]上恒正,故有,由此求得实数a的取值范围
(Ⅱ)(i)因为f(n)-f(m)=f(n)+[-f(m)]≥2=2=4,当且仅当f(n)=-f(m)=2时等号成立,由此求得a的值.

(ii)先求得f′(x)==,可得 =.欲证x1<x<x2,先用作差法求得 .另一方面,根据 -=,可得x12-x2<0,即x1<|x|.
同理可证x<x2,因此x1<|x|<x2
解答:解:(I)若m=0,n=1,由已知函数f(x)=  在区间[0,1]上为增函数,
可得 f′(x)== 在区间[0,1]上恒正,
故有,解得a≥0,故实数a的取值范围为[0,+∞).
(Ⅱ)(i)因为f(n)-f(m)=f(n)+[-f(m)]≥2=2=4,当且仅当f(n)=-f(m)=2时等号成立.
由f(n)=,有-a=2(n-1)2≥0,得a≤0; 由f(m)=,有a=2(m+1)2≥0,得a≥0;(10分)
故f(n)-f(m)取得最小值时,a=0,n=1.
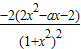
(ii)此时,f′(x)==
由f′(x)=,可得 =
欲证x1<x<x2,先比较  与  的大小.
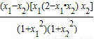
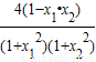
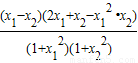
由于 -=-==

因为0<x1<x2<1,所以0<x1x2<1,有x1(2-x1x2)+x2>0,
于是(x1-x2)[x1(2-x1x2)+x2]<0,即 -<0.
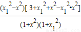
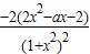
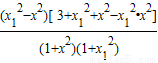
另一方面,-=

因为0<x12x2<1,所以3+x12+x2-x12x2>0,从而x12-x2<0,即x1<|x|.
同理可证x<x2,因此x1<|x|<x2
点评:本题主要考查导数在研究单调性,求最值,比较大小中的应用,属于中档题.
练习册系列答案
相关习题

科目:高中数学 来源: 题型:

已知函数f(x)定义在[-1,1]上,设g(x)=f(x-c)和h(x)=f(x-c2)两个函数的定义域分别为A和B,若A∩B=∅,则实数c的取值集合为
(-∞,-1)∪(2,+∞)
(-∞,-1)∪(2,+∞)

查看答案和解析>>

科目:高中数学 来源: 题型:

已知函数f(x)定义在(-1,1)上,对于任意的x,y∈(-1,1),有f(x)+f(y)=f(
x+y
1+xy
),且当x<0时,f(x)>0;
(1)验证函数f(x)=ln
1-x
1+x
是否满足这些条件;
(2)判断这样的函数是否具有奇偶性和其单调性,并加以证明;
(3)若f(-
1
2
)=1,试解方程f(x)=-
1
2

查看答案和解析>>

科目:高中数学 来源: 题型:

已知函数f(x)=ax在(O,2)内的值域是(a2,1),则函数y=f(x)的图象是(  )

查看答案和解析>>

科目:高中数学 来源: 题型:

已知函数f(x)定义在区间(-1,1)上,f(
1
2
)=-1
,对任意x,y∈(-1,1),恒有f(x)+f(y)=f(
x+y
1+xy
)
成立,又数列{an}满足a1=
1
2
an+1=
2a
1+
a
2
n

(I)在(-1,1)内求一个实数t,使得f(t)=2f(
1
2
)

(II)求证:数列{f(an)}是等比数列,并求f(an)的表达式;
(III)设cn=
n
2
bn+2,bn=
1
f(a1)
+
1
f(a2)
+
1
f(a3)
+…+
1
f(an)
,是否存在m∈N*,使得对任意n∈N*cn
6
7
lo
g
2
2
m-
18
7
log2m
恒成立?若存在,求出m的最小值;若不存在,请说明理由.

查看答案和解析>>

科目:高中数学 来源: 题型:

凸函数的性质定理为:如果函数f(x)在区间D上是凸函数,则对D内的任意x1,x2,…,xn都有
f(x1)+f(x2)+…+f(xn)
n
≤f(
x1+x2+…+xn
n
)
.已知函数f(x)=sinx在(0,π)上是凸函数,则
(1)求△ABC中,sinA+sinB+sinC的最大值.
(2)判断f(x)=2x在R上是否为凸函数.

查看答案和解析>>

同步练习册答案