精英家教网 > 高中数学 > 题目详情
已知焦点在x轴上的双曲线C的两条渐近线过原点,且两条渐近线与以点为圆心,1为半径的圆相切,双曲线C的一个焦点与点A关于直线y=x对称.
(Ⅰ)求双曲线C的方程;
(Ⅱ)设直线y=mx+1与双曲线C的左支交于A,B两点,另一直线l经过M(-2,0)和线段AB的中点,求直线l在y轴上截距b的取值范围.
【答案】分析:(I)设出双曲线的渐近线方程,写出圆的方程,利用直线与圆相切的充要条件:圆心到切线的距离等于半径列出关于斜率的方程,求出渐近线斜率,根据渐近线的斜率判断出是等轴双曲线,根据双曲线三个参数的关系求出双曲线方程
(II)将直线方程与双曲线的方程联立消去y得到关于x的二次方程,利用韦达定理求出两个交点横坐标的和及积,令和小于0积大于0求出m的范围,同时求出两个交点中点的坐标,利用两点式求出另一条直线的方程,令x=0得到纵截距,看成关于m的函数,求出函数的值域即纵截距的取值范围.
解答:解:(Ⅰ)设双曲线C的渐近线方程为y=kx,
又该直线与圆相切
所以 
可设双曲线C的方程为
又双曲线C的一个焦点为(,0),
所以2a2=2⇒a2=1
所求双曲线C的方程为  x2-y2=1
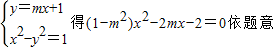
(Ⅱ)由 

线段AB的中点为
所以 直线l在y轴上截距b
点评:求圆锥曲线的方程一般利用待定系数法;解决直线与圆锥曲线的位置关系一般将直线的方程与圆锥曲线的方程联立消去一个未知数得到关于另一个未知数的二次方程,利用韦达定理得到交点的坐标的关系,作为突破口来找思路.
练习册系列答案
相关习题

科目:高中数学 来源: 题型:

(2013•潍坊一模)已知抛物线y2=2px(p>0)的焦点F与双曲
x2
4
-
y2
5
=1
的右焦点重合,抛物线的准线与x轴的交点为K,点A在抛物线上且|AK|=
2
|AF|
,则A点的横坐标为(  )

查看答案和解析>>

科目:高中数学 来源: 题型:

(2012•淮南二模)已知椭圆C:
x2
a2
+
y2
b2
=1,(a>b>0)与双曲4x2-
4
3
y2=1有相同的焦点,且椭C的离心e=
1
2
,又A,B为椭圆的左右顶点,M为椭圆上任一点(异于A,B).
(1)求椭圆的方程;
(2)若直MA交直x=4于点P,过P作直线MB的垂线x轴于点Q,Q的坐标;
(3)求点P在直线MB上射R的轨迹方程.

查看答案和解析>>

科目:高中数学 来源: 题型:

(08年龙岩一中冲刺文)(分)已知双曲线C的中心在原点,焦点在x轴上,右准线为一条渐近线的方程是过双曲线C的右焦点F2的一条弦交双曲线右支于P、Q两点,R是弦PQ的中点.

   (1)求双曲线C的方程;

   (2)若A、B分别是双曲C上两条渐近线上的动点,且2|AB|=|F1F2|,求线段AB的中点M的迹方程,并说明该轨迹是什么曲线。

   (3)若在双曲线右准线L的左侧能作出直线m:x=a,使点R在直线m上的射影S满足,当点P在曲线C上运动时,求a的取值范围.

查看答案和解析>>

科目:高中数学 来源: 题型:

已知焦点在x轴上的双曲线C的两条渐近线过坐标原点,且两条渐近线与以点A (0,)为圆心,1为半径的圆相切,又知C的一个焦点与A关于y = x对称.

    (1)求双曲线C的方程;

    (2)若Q是双曲线线C上的任一点,F1F2为双曲线C的左、右两个焦点,从F1引∠F1QF2的平分线的垂线,垂足为N,试求点N的轨迹方程;

    (3)设直线y = mx + 1与双曲线C的左支交于AB两点,另一直线l经过M (–2,0)及AB的中点,求直线ly轴上的截距b的取值范围.

查看答案和解析>>

科目:高中数学 来源:2012-2013学年山东省潍坊市高三3月第一次模拟考试文科数学试卷(解析版) 题型:选择题

已知抛物线的焦点F与双曲的右焦点重合,抛物线的准线与x轴的交点为K,点A在抛物线上且,则A点的横坐标为

A.            B.3                C.            D.4

 

查看答案和解析>>

同步练习册答案