精英家教网 > 高中数学 > 题目详情
已知,则方向上的投影为   
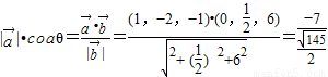
【答案】分析:由向量 在向量 方向上的投影的定义,结合平面向量数量积公式,我们易得向量 在向量 方向上的投影为 ,将 =(1,-2,-1),=(0,,6)代入即可得到答案.
解答:解:设向量=(1,-2,-1)与=(0,,6)的夹角为θ
则向量 在向量 方向上的投影为=
故答案为:
点评:本题考查的知识点是平面向量数量积的运算,其中根据向量 在向量 方向上的投影的定义,并结合平面向量数量积公式将其转化为 是解答本题的关键.
练习册系列答案
相关习题

科目:高中数学 来源:2012-2013学年浙江省重点中学高三(上)10月月考数学试卷(理科)(解析版) 题型:填空题

已知命题:
(1)函数在(0,+∞)上是减函数;
(2)函数f(x)的定义域为R,f′(x)=0是x=x为极值点的既不充分也不必要条件;
(3)函数f(x)=2sinxcos|x|的最小正周期为π;
(4)已知,则方向上的投影为4.
其中,正确命题的序号是    .(把你认为正确命题的序号都填上)

查看答案和解析>>

科目:高中数学 来源:2012-2013学年浙江省重点中学高三(上)10月月考数学试卷(理科)(解析版) 题型:填空题

已知命题:
(1)函数在(0,+∞)上是减函数;
(2)函数f(x)的定义域为R,f′(x)=0是x=x为极值点的既不充分也不必要条件;
(3)函数f(x)=2sinxcos|x|的最小正周期为π;
(4)已知,则方向上的投影为4.
其中,正确命题的序号是    .(把你认为正确命题的序号都填上)

查看答案和解析>>

科目:高中数学 来源:2012-2013学年山东省济宁市高三上学期期中考试文科数学试卷(解析版) 题型:选择题

已知,则方向上的投影为(  )

A.-              B.-           C.-2               D.-

 

查看答案和解析>>

科目:高中数学 来源:2008-2009学年湖北省部分重点中学联考高三(上)期中数学试卷(理科)(解析版) 题型:填空题

给出下列命题:
①若,则成立的必要不充分条件;
②已知,则方向上的投影为-4;
③设点P分所成的比为,则点P1所成的比为
④函数的图象关于点成中心对称.
其中正确命题的序号是    (请将所有正确命题的序号都填上).

查看答案和解析>>

科目:高中数学 来源:2010年河南省郑州外国语学校高考数学模拟试卷1(理科)(解析版) 题型:填空题

已知命题:
①函数f(x)=在(0,+∞)是减函数;
②函数f(x)的定义域为R,f′(x)=0是x=x为极值点的既不充分又不必要条件;
③在平面内,到定点(2,1)的距离与到定直线3x+4y-10=0的距离相等的点的轨迹是抛物线;
④函数f(x)=2sinxcos|x|的最小正周期是π;
⑤已知,则方向上的投影为4.
其中正确命题的序号是   

查看答案和解析>>

同步练习册答案