精英家教网 > 高中数学 > 题目详情
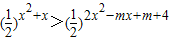
已知对任意x∈R,不等式恒成立,求实数m的取值范围.
【答案】分析:化简不等式,利用指数函数的单调性,转化不等式为二次不等式,通过判别式解决恒成立问题,求出m的范围.
解答:解:原不等式为,由函数y=是减函数…(4分)
得x2+x<2x2-mx+m+4恒成立,…(6分)
即x2-(m+1)x+m+4>0恒成立,…(8分)
∴△=(m+1)2-4(m+4)<0…(10分)
∴-3<m<5…(12分)
点评:本题考查指数函数的性质,恒成立条件的应用,二次不等式的解法,考查计算能力.
练习册系列答案
相关习题

科目:高中数学 来源: 题型:

已知对任意m∈R,直线x+y+m=0都不是f(x)=x3-3ax(a∈R)的切线.
(I)求a的取值范围;
(II)求证在x∈[-1,1]上至少存在一个x0,使得|f(x0)|≥
14
成立.

查看答案和解析>>

科目:高中数学 来源: 题型:

已知对任意m∈R,直线x+y+m=0都不是f(x)=x3-3ax(a∈R)的切线,则a的取值范围是(  )

查看答案和解析>>

科目:高中数学 来源: 题型:解答题

已知对任意m∈R,直线x+y+m=0都不是f(x)=x3-3ax(a∈R)的切线.
(I)求a的取值范围;
(II)求证在x∈[-1,1]上至少存在一个x0,使得数学公式成立.

查看答案和解析>>

科目:高中数学 来源:2012-2013学年河北省邯郸一中高三(上)期中数学试卷(理科)(解析版) 题型:选择题

已知对任意m∈R,直线x+y+m=0都不是f(x)=x3-3ax(a∈R)的切线,则a的取值范围是( )
A.
B.
C.
D.

查看答案和解析>>

科目:高中数学 来源:2011年高三数学单元检测:函数与导数(解析版) 题型:解答题

已知对任意m∈R,直线x+y+m=0都不是f(x)=x3-3ax(a∈R)的切线.
(I)求a的取值范围;
(II)求证在x∈[-1,1]上至少存在一个x,使得成立.

查看答案和解析>>

同步练习册答案