ÈçÏÂͼËùʾ£¬A¡¢BÊǾ²Ö¹ÔÚˮƽµØÃæÉÏÍêÈ«ÏàͬµÄÁ½¿é³¤Ä¾°å£®AµÄ×ó¶ËºÍBµÄÓÒÃæ¶ËÏà½Ó´¥£®Á½°åµÄÖÊÁ¿½ÔΪM£½2.0 kg£¬³¤¶È½ÔΪl£½1.0 m£®CÊÇÒ»ÖÊÁ¿Îªm£½1.0 kgµÄСÎï¿é£®ÏÖ¸øËüÒ»³õËÙ¶Èv0£½2.0 m/s£¬Ê¹Ëü´ÓB°åµÄ×ó¶Ë¿ªÊ¼ÏòÓÒ»¬¶¯£¬ÒÑÖªµØÃæÊǹ⻬µÄ£¬¶øCÓëA¡¢BÖ®¼äµÄ¶¯Ä¦²ÁÒòÊýΪ£½0.10£®Çó×îºóA¡¢B¡¢C¸÷ÒÔ¶à´óµÄËÙ¶È×öÔÈËÙÔ˶¯£®(È¡ÖØÁ¦¼ÓËÙ¶Èg£½10 m/s2)

´ð°¸£º
½âÎö£º

¡¡¡¡CÓпÉÄÜÍ£ÔÚBÉÏ£¬Ò²ÓпÉÄÜÍ£ÔÚAÉÏ£¬»¹ÓпÉÄÜ»¬ÀëA£¬ÏȼÙÉèÍ£ÔÚBÉÏ£¬Óɶ¯Á¿Êغ㶨Âɵ㺣®

¡¡¡¡ÉèCÔÚBÉÏ»¬¶¯¾àÀëΪx£¬Ä¾°åBµÄÎ»ÒÆÎªs£¬ÔòC¶ÔµØµÄÎ»ÒÆÎªs£«x£¬

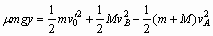
¡¡¡¡Óɹ¦ÄܹØÏµµÃ£º¶Ôľ°å£º

¡¡¡¡¶ÔC£ºËùÒԵãº

¡¡¡¡´Ó¶ø½âµÃ£¬´óÓڰ峤£¬C½«»¬ÀëB°å£®

¡¡¡¡ÉèC¸Õ»¬µ½A°åÉÏËÙ¶ÈΪ£¬´ËʱABÁ½°åµÄËÙ¶ÈΪvB£¬Óɶ¯Á¿ÊغãµÃ

¡¡¡¡Óɹ¦ÄܹØÏµµÃ£º

¡¡¡¡¡à

¡¡¡¡ºÏÀíµÄ½âÊÇ£º¡¡¡¡

¡¡¡¡µ±C»¬µ½AÉÏ£¬BÒÔ0.155 m/sµÄËÙ¶ÈÔÈËÙÔ˶¯ÁË£¬ÉèCÍ£ÔÚAÉÏ£¬ËÙ¶ÈvA£¬Ïà¶ÔA»¬ÐоàÀëΪy£¬Óɶ¯Á¿ÊغãµÃ£º

¡¡¡¡½âµÃ£º0.563 m/s£¬Óɶ¯ÄܹØÏµµÃ£º

¡¡¡¡´úÈëÊý¾ÝµÃy£½0.50 m£¬Ð¡ÓÚA°å³¤¶È£¬C²»ÄÜ»¬ÀëA°å£¬×îºóA¡¢B¡¢CµÄËÙ¶È·Ö±ðΪvA£½0.563 m/s¡¡¡¡vB£½0.155 m/s£¬m/s


Á·Ï°²áϵÁдð°¸
Ïà¹ØÏ°Ìâ

¿ÆÄ¿£º¸ßÖÐÎïÀí À´Ô´£º»Æ¸ÔÖØµã×÷Òµ¡¡¸ß¶þÎïÀí£¨Ï£© ÌâÐÍ£º068

ÈçÏÂͼËùʾ£¬a¡¢bÊÇÖ±ÏßµçÁ÷µÄ´Å³¡£¬c¡¢dÊÇ»·ÐεçÁ÷µÄ´Å³¡£¬e¡¢fÊÇÂÝÏ߹ܵçÁ÷µÄ´Å³¡£¬ÊÔÔÚ¸÷ͼÖв¹»­³öµçÁ÷·½Ïò»ò´Å¸ÐÏß·½Ïò£®

²é¿´´ð°¸ºÍ½âÎö>>

¿ÆÄ¿£º¸ßÖÐÎïÀí À´Ô´£º½­ËÕÊ¡ÌìÒ»ÖÐѧ2011£­2012ѧÄê¸ß¶þÉÏѧÆÚÆÚÖп¼ÊÔÎïÀíÀí¿ÆÊÔÌâ ÌâÐÍ£º013

ijÔÈÇ¿µç³¡µÄµç³¡Ïß·Ö²¼ÈçÏÂͼËùʾ£¬A¡¢BÊǵ糡ÖеÄÁ½µã£¬A¡¢BÁ½µãµç³¡Ç¿¶ÈµÄ´óС·Ö±ðΪEA¡¢EB£¬µç×ÓÔÚA¡¢BÁ½µãÊÜÁ¦·Ö±ðΪFA¡¢FBÏÂÁÐ˵·¨ÕýÈ·µÄÊÇ

[¡¡¡¡]

A£®EA£¾EB

B£®EA£¼EB

C£®FAˮƽÏòÓÒ

D£®FBˮƽÏò×ó

²é¿´´ð°¸ºÍ½âÎö>>

¿ÆÄ¿£º¸ßÖÐÎïÀí À´Ô´£º ÌâÐÍ£º

ÈçÏÂͼËùʾ£¬a¡¢bÊÇÁ½¸ö´øÓÐͬÖÖµçºÉµÄСÇò£¬ÓþøÔµÏ¸ÏßÐü¹ÒÓÚͬһµã£¬Á½Çò¾²Ö¹Ê±£¬ËüÃǾàˮƽµØÃæµÄ¸ß¶ÈÏàµÈ£¬ÉþÓëÊúÖ±·½ÏòµÄ¼Ð½Ç·Ö±ðΪ¦Á¡¢¦Â£¬ÇÒ¦Á£¼¦Â.Èôͬʱ¼ô¶ÏÁ½¸ùϸÏߣ¬¿ÕÆø×èÁ¦²»¼Æ£¬Á½Çò´øµçºÉÁ¿²»±ä£¬Ôò£¨    £©

A.a¡¢bÁ½ÇòͬʱÂ䵨                         B.aÇòÏÈÂ䵨

C.aÇòˮƽ·ÉÐеľàÀë±ÈbÇò´ó             D.a¡¢bÁ½Çòˮƽ·ÉÐеľàÀëÏàµÈ

²é¿´´ð°¸ºÍ½âÎö>>

¿ÆÄ¿£º¸ßÖÐÎïÀí À´Ô´£º ÌâÐÍ£º

ÈçÏÂͼËùʾ£¬a¡¢bÊÇÁ½¸ö´øÓÐͬÖÖµçºÉµÄСÇò£¬ÓþøÔµÏ¸ÏßÐü¹ÒÓÚͬһµã£¬Á½Çò¾²Ö¹Ê±£¬ËüÃǾàˮƽµØÃæµÄ¸ß¶ÈÏàµÈ£¬ÉþÓëÊúÖ±·½ÏòµÄ¼Ð½Ç·Ö±ðΪ¦Á¡¢¦Â£¬ÇÒ¦Á£¼¦Â.Èôͬʱ¼ô¶ÏÁ½¸ùϸÏߣ¬¿ÕÆø×èÁ¦²»¼Æ£¬Á½Çò´øµçºÉÁ¿²»±ä£¬Ôò£¨    £©

A.a¡¢bÁ½ÇòͬʱÂ䵨                      B.aÇòÏÈÂ䵨

C.aÇòˮƽ·ÉÐеľàÀë±ÈbÇò´ó             D.a¡¢bÁ½Çòˮƽ·ÉÐеľàÀëÏàµÈ

²é¿´´ð°¸ºÍ½âÎö>>

¿ÆÄ¿£º¸ßÖÐÎïÀí À´Ô´£º ÌâÐÍ£º

ÈçÏÂͼËùʾ£¬a¡¢bÊÇÁ½¸ö´øÓÐͬÖÖµçºÉµÄСÇò£¬ÓþøÔµÏ¸ÏßÐü¹ÒÓÚͬһµã£¬Á½Çò¾²Ö¹Ê±£¬ËüÃǾàˮƽµØÃæµÄ¸ß¶ÈÏàµÈ£¬ÉþÓëÊúÖ±·½ÏòµÄ¼Ð½Ç·Ö±ðΪ¦Á¡¢¦Â£¬ÇÒ¦Á£¼¦Â.Èôͬʱ¼ô¶ÏÁ½¸ùϸÏߣ¬¿ÕÆø×èÁ¦²»¼Æ£¬Á½Çò´øµçºÉÁ¿²»±ä£¬Ôò£¨    £©

A.a¡¢bÁ½ÇòͬʱÂ䵨                      B.aÇòÏÈÂ䵨

C.aÇòˮƽ·ÉÐеľàÀë±ÈbÇò´ó             D.a¡¢bÁ½Çòˮƽ·ÉÐеľàÀëÏàµÈ

²é¿´´ð°¸ºÍ½âÎö>>

ͬ²½Á·Ï°²á´ð°¸