ÈçͼËùʾ£¬Ë®Æ½·ÅÖÃµÄÆ½ÐнðÊô°åAºÍB¼äµÄ¾àÀëΪd£¬°å³¤L=d£¬B°åµÄÓÒ²à±ßԵǡºÃÊÇÇãбµ²°åNMÉϵÄÒ»¸öС¿×K£¬NMÓëˮƽµ²°åNP³É60°½Ç£¬KÓëN¼äµÄ¾à£®ÏÖÓÐÒ»ÖÊÁ¿Îªm¡¢µçºÉÁ¿ÎªqµÄ´øÕýµçµÄÁ£×Ó£¬´ÓABµÄÖеãOÒÔÆ½ÐÐÓÚ½ðÊô°å·½ÏòOO'µÄËÙ¶ÈvÉäÈ룬²»¼ÆÁ£×ÓµÄÖØÁ¦£®ÏÖÔÚA¡¢B°åÉϼÓÒ»ºã¶¨µçѹ£¬Ôò¸ÃÁ£×Ó´©¹ý½ðÊô°åºóÇ¡ºÃ´©¹ýС¿×K£®
£¨1£©ÇóA¡¢B°åÉÏËù¼ÓµÄºã¶¨µçѹ´óС£®
£¨2£©Çó´øµçÁ£×Óµ½´ïKµãµÄËÙ¶È£®
£¨3£©ÔÚ×ã¹»³¤µÄNMºÍNPÁ½µµ°åËù¼ÐµÄÄ³Ò»ÇøÓò´æÔÚÒ»´¹Ö±Ö½ÃæÏòÀïµÄÔÈÇ¿´Å³¡£¬Ê¹Á£×Ó¾­¹ý´Å³¡Æ«×ªºóÄÜ´¹Ö±´òµ½Ë®Æ½µ²°åNPÉÏ£¨Ö®Ç°Óëµ²°åûÓÐÅöײ£©£¬Çó¸Ã´Å³¡µÄ´Å¸ÐӦǿ¶ÈµÄ×îСֵBmin£®

¡¾´ð°¸¡¿·ÖÎö£º£¨1£©´øµçÁ£×Ó×öÀàÆ½Å×Ô˶¯£¬¸ù¾ÝƽÅ×Ô˶¯µÄ»ù±¾¹«Ê½¼´¿ÉÇó½â£»
£¨2£©ÏÈÇó³öÉäÈëµÄÁ£×Ó£¬ÔÚ½øÈëKʱÊúÖ±·½ÏòµÄ·ÖËÙ¶È£¬ÔÙÇó³öˮƽËÙ¶È£¬¸ù¾ÝËٶȵĺϳɷ¨ÔòÇó³öºÍËÙ¶È£»
£¨3£©Á£×Ó´ÓKµãÈëÉäºó×öÔÈËÙÖ±ÏßÔ˶¯´ÓDµã¿ªÊ¼½øÈë´Å³¡£¬Á£×ÓÔÚ½øÈë´Å³¡ºó£¬¸ù¾Ý×óÊÖ¶¨Ôò£¬ËùÊܵÄÂåÂ××ÈÁ¦Ð±ÏòÉÏ£¬ÒªÊ¹Á£×ÓÄÜ´¹Ö±´òµ½Ë®Æ½µ²°åNP£¬ÔòÁ£×ÓÐèÆ«×ª300°ºó´ÓEÉä³ö£¬×öÔÈËÙÖ±ÏßÔ˶¯´¹Ö±´òµ½NP£®Á£×Ó×÷Ô²ÖÜÔ˶¯Ê±£¬ÂåÂ××ÈÁ¦ÌṩÏòÐÄÁ¦£¬ÒªÊ¹B×îС£¬ÔòÒª°ë¾¶r×î´ó£¬ÁÙ½çÇé¿öÊÇÔ²ÖÜÔ˶¯µÄ¹ì¼£Ç¡ºÃ¸úÁ½µ²°åÏàÇУ¬½áºÏ¼¸ºÎ¹ØÏµ¼´¿ÉÇó½â£®
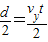
½â´ð£º½â£º£¨1£©´øµçÁ£×Ó×öÀàÆ½Å×Ô˶¯£¬Ôò£ºL=vt    ¢Ù£¨1·Ö£©
  ¢Ú£¨1·Ö£©
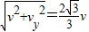
a=¢Û£¨1·Ö£©
°ÑL=´úÈë¢Ù¢Ú¢Ûʽ¿ÉµÃ£ºU=¢Ü
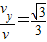
£¨2£©ÉäÈëµÄÁ£×Ó£¬ÔÚ½øÈëKʱÊúÖ±·½ÏòµÄ·ÖËÙ¶ÈΪvy£¬Ôò£º ¢Ý
ˮƽ·½Ïò£ºL=¢Þ£¨1·Ö£©
µÃ£ºtan¦È=¢ß£¨1·Ö£©
v=¢à
Ôò¦È=30°¢á£¬¼´Á£×Ó´¹Ö±MN°åÈëÉ䣮
£¨3£©ÈçͼËùʾ£¬Á£×Ó´ÓKµãÈëÉäºó×öÔÈËÙÖ±ÏßÔ˶¯´ÓDµã¿ªÊ¼½øÈë´Å³¡£¬Á£×ÓÔÚ½øÈë´Å³¡ºó£¬¸ù¾Ý×óÊÖ¶¨Ôò£¬ËùÊܵÄÂåÂ××ÈÁ¦Ð±ÏòÉÏ£¬ÒªÊ¹Á£×ÓÄÜ´¹Ö±´òµ½Ë®Æ½µ²°åNP£¬ÔòÁ£×ÓÐèÆ«×ª300°ºó´ÓEÉä³ö£¬×öÔÈËÙÖ±ÏßÔ˶¯´¹Ö±´òµ½NP£®
Á£×Ó×÷Ô²ÖÜÔ˶¯Ê±£¬ÂåÂ××ÈÁ¦ÌṩÏòÐÄÁ¦£¬¼´
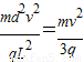
Bqv=¢â
¿ÉµÃB=
ҪʹB×îС£¬ÔòÒª°ë¾¶r×î´ó£¬ÁÙ½çÇé¿öÊÇÔ²ÖÜÔ˶¯µÄ¹ì¼£Ç¡ºÃ¸úÁ½µ²°åÏàÇУ¬ÈçͼËùʾ£¬¸ù¾Ý¶Ô³ÆÐÔÔ²ÖÜÔ˶¯µÄÔ²ÐÄC¡¢½»µãGλÓÚ¡ÏMNPµÄ½Çƽ·ÖÏßÉÏ£¬ÔòÓɼ¸ºÎ¹ØÏµ¿ÉµÃ£º
CDKFÊDZ߳¤ÎªrµÄÕý·½ÐΣ®ÔòÔÚÈý½ÇÐÎNCFÖУ¬ÓÐ
¿ÉµÃr=                                      
½âµÃ£º
´ð£º£¨1£©A¡¢B°åÉÏËù¼ÓµÄºã¶¨µçѹ´óСΪ£®
£¨2£©´øµçÁ£×Óµ½´ïKµãµÄËÙ¶ÈΪ£¬Á£×Ó´¹Ö±MN°åÈëÉ䣮
£¨3£©¸Ã´Å³¡µÄ´Å¸ÐӦǿ¶ÈµÄ×îСֵΪ£®
µãÆÀ£º±¾ÌâÖ÷Òª¿¼²éÁËÆ½Å×Ô˶¯¡¢Ô²ÖÜÔ˶¯µÄ»ù±¾¹«Ê½µÄÓ¦Óã¬ÒªÊ¹B×îС£¬ÔòÒª°ë¾¶r×î´ó£¬ÁÙ½çÇé¿öÊÇÔ²ÖÜÔ˶¯µÄ¹ì¼£Ç¡ºÃ¸úÁ½µ²°åÏàÇУ¬ÒªÇóͬѧÃÇÄܽáºÏ¼¸ºÎ¹ØÏµÇó½â£¬ÄѶȽϴó£®
Á·Ï°²áϵÁдð°¸
Ïà¹ØÏ°Ìâ

¿ÆÄ¿£º¸ßÖÐÎïÀí À´Ô´£º ÌâÐÍ£º

ÈçͼËùʾ£¬Ë®Æ½·ÅÖÃµÄÆ½ÐнðÊô°åA¡¢B¼ä¾àΪd£¬´øµçÁ£×ӵĵçºÉÁ¿Îªq£¬ÖÊÁ¿Îªm£¬Á£×ÓÒÔËÙ¶Èv´ÓÁ½¼«°åÖÐÑ봦ˮƽ·ÉÈëÁ½¼«°å¼ä£¬µ±Á½°åÉϲ»¼Óµçѹʱ£¬Á£×ÓÇ¡´ÓϰåµÄ±ßÔµ·É³ö£®ÏÖ¸øAB¼ÓÉÏÒ»µçѹ£¬ÔòÁ£×ÓÇ¡ºÃ´ÓÉϼ«°å±ßÔµ·É³öÇ󣺣¨1£©Á½¼«°å¼äËù¼ÓµçѹU£»£¨2£©½ðÊô°åµÄ³¤¶ÈL£®

²é¿´´ð°¸ºÍ½âÎö>>

¿ÆÄ¿£º¸ßÖÐÎïÀí À´Ô´£º ÌâÐÍ£º

ÈçͼËùʾ£¬Ë®Æ½·ÅÖõľØÐÎÏßȦabcdµÄÃæ»ýΪS£¬´¦ÓÚÊúÖ±ÏòϵĴŸÐӦǿ¶ÈΪBµÄÔÈÇ¿´Å³¡ÄÚ£¬Ôò´©¹ý¾ØÐÎÏßȦµÄ´ÅͨÁ¿ÊÇ
BS
BS
£¬µ±ÏßÈ¦ÈÆab±ßת¹ý90¡ãʱ£¬´©¹ýËüµÄ´ÅͨÁ¿Îª
0
0
£®

²é¿´´ð°¸ºÍ½âÎö>>

¿ÆÄ¿£º¸ßÖÐÎïÀí À´Ô´£º ÌâÐÍ£º

¾«Ó¢¼Ò½ÌÍøÈçͼËùʾ£¬Ë®Æ½·ÅÖõİ×É«µÄ´«ËÍ´øÒÔËÙ¶Èv=6m/sÏòÓÒÔÈËÙÔËÐУ¬ÏÖ½«Ò»Ð¡Ãº¿éÇáÇáµØ·ÅÔÚ´«ËÍ´øA¶Ë£¬ÎïÌåÓë´«ËÍ´ø¼äµÄ¶¯Ä¦²ÁÒòÊý¦Ì=0.1£¬ÈôA¶ËÓëB¶ËÏà¾à30m£¬Ôò£¨g=10m/s2£©£¨¡¡¡¡£©
A¡¢Ð¡Ãº¿éÏÈ×÷ÔȼÓËÙÖ±ÏßÔ˶¯£¬ºó×÷ÔÈËÙÖ±ÏßÔ˶¯B¡¢Ð¡Ãº¿éÒ»Ö±×÷ÔȼÓËÙÖ±ÏßÔ˶¯C¡¢È«¹ý³ÌÖУ¬Ð¡Ãº¿éÏÈÊܵ½ÏòÓҵϬ¶¯Ä¦²ÁÁ¦£¬ºó²»ÊÜĦ²ÁÁ¦×÷ÓÃD¡¢È«¹ý³ÌÖУ¬Ð¡Ãº¿éÏÈÊܵ½ÏòÓҵϬ¶¯Ä¦²ÁÁ¦£¬ºóÊܵ½ÏòÓҵľ²Ä¦²ÁÁ¦×÷ÓÃ

²é¿´´ð°¸ºÍ½âÎö>>

¿ÆÄ¿£º¸ßÖÐÎïÀí À´Ô´£º ÌâÐÍ£º

¾«Ó¢¼Ò½ÌÍøÈçͼËùʾ£¬Ë®Æ½·ÅÖõÄÁ½¿é³¤Ö±Æ½ÐнðÊô°åa¡¢bÏà¾àd=0.10m£¬a¡¢b¼äµÄµç³¡Ç¿¶ÈΪE=5.0¡Á105N/C£¬b°åÏ·½Õû¸ö¿Õ¼ä´æÔÚ×ŴŸÐӦǿ¶È´óСΪB=6.0T¡¢·½Ïò´¹Ö±Ö½ÃæÏòÀïµÄÔÈÇ¿´Å³¡£®½ñÓÐÒ»ÖÊÁ¿Îªm=4.8¡Á10-25kg¡¢µçºÉÁ¿Îªq=1.6¡Á10?18CµÄ´øÕýµçµÄÁ£×Ó£¨²»¼ÆÖØÁ¦£©£¬´ÓÌù½üa°åµÄ×ó¶ËÒÔ¦Ô0=1.0¡Á106m/sµÄ³õËÙ¶ÈˮƽÉäÈëÔÈÇ¿µç³¡£¬¸ÕºÃ´ÓÏÁ·ìP´©¹ýb°å¶ø´¹Ö±½øÈëÔÈÇ¿´Å³¡£¬×îºóÁ£×ӻص½±ß½çbµÄQ£¨Í¼ÖÐδ±ê³ö£©´¦£®ÊÔÇó
£¨1£©Á£×Ó´©¹ýÏÁ·ìPʱµÄËٶȦԼ°ÆäÓëb°åµÄ¼Ð½Ç¦È£®
£¨2£©P¡¢QÖ®¼äµÄ¾àÀëL£®

²é¿´´ð°¸ºÍ½âÎö>>

¿ÆÄ¿£º¸ßÖÐÎïÀí À´Ô´£º ÌâÐÍ£º

¾«Ó¢¼Ò½ÌÍøÈçͼËùʾ£¬Ë®Æ½·ÅÖÃµÄÆ½ÐаåµçÈÝÆ÷£¬Ô­À´ABÁ½°å²»´øµç£¬B¼«°å½ÓµØ£¬ËüµÄ¼«°å³¤L=0.1m£¬Á½°å¼ä¾àÀëd=0.4¡Á10-2m£¬ÏÖÓÐһ΢Á£ÖÊÁ¿m=2.0¡Á10-6kg£¬´øµçÁ¿q=+1.0¡Á10-8C£¬ÒÔÒ»¶¨³õËÙ¶È´ÓÁ½°åÖÐÑëÆ½ÐÐÓÚ¼«°åÉäÈ룬ÓÉÓÚÖØÁ¦×÷ÓÃ΢Á£Ç¡ºÃÄÜÂäµ½A°åÉÏÖеãO´¦£¬²»·´µ¯£®ºöÂÔÆ½ÐаåµçÈÝÆ÷µÄ±ßԵЧӦ£¬È¡g=10m/s2£®ÊÔÇó£º
£¨1£©´øµçÁ£×ÓÈëÉä³õËٶȵĴóС£»
£¨2£©ÏÖʹµçÈÝÆ÷´øÉϵçºÉ£¬Ê¹´øµç΢Á£ÄÜ´ÓÆ½ÐаåµçÈÝÆ÷µÄÓÒ²àÉä³ö£¬ÇÒ²»Åö°å£®Ôò´øµçºóA°åµÄµçÊÆÓ¦Âú×ãʲôÌõ¼þ£¿

²é¿´´ð°¸ºÍ½âÎö>>

ͬ²½Á·Ï°²á´ð°¸