精英家教网 > 高中物理 > 题目详情

如图所示,在边长为L的等边三角形ACD区域内,存在磁感应强度为B、方向垂直纸面向外的匀强磁场。现有一束质量为m、电荷量为+q的带电粒子,从AC边中点P、平行于CD边垂直磁场射入,粒子的重力可忽略不计。

(1)若粒子进入磁场时的速度大小为v0,求粒子在磁场中运动的轨道半径;

(2)为使粒子能从CD边飞出磁场,粒子进入磁场时的速度大小应满足什么条件?

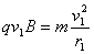
解:(1)设粒子在磁场中运动的轨道半径为r,则 

    (1分)

解得    (2分)

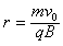
 (2)设粒子从CD边飞出磁场的最小半径为r1,对应最小速度为v1,则

        (1分)

解得          (1分)

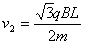
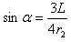
设粒子能从D点飞出磁场,对应的半径为r2,速度为v2,圆心角为α,则 

       (1分)

                     (1分)

解得    α=60°         (1分)

 由几何关系可知,粒子能从D点飞出磁场,且飞出时速度方向沿AD方向

由于

解得           

所以速度大小应满足的条件     (1分)

练习册系列答案
相关习题

科目:高中物理 来源: 题型:

(2008?普陀区三模)如图所示,在边长为L的正方形ABCD区域内存在着场强为E的匀强电场,电场方向与AB边平行.一带电量为q的带电粒子以mv2/2从正方形ABCD一条边的中点射入(该粒子的重力不计),一段时间后,该粒子从一条边的中点射出,此时该带电粒子的动能有n种情况,则n 等于(  )

查看答案和解析>>

科目:高中物理 来源: 题型:

(A)如图所示,在边长为L=1m的等边三角形ACD区域内,存在磁感应强度为B=
3
3
T、方向垂直纸面向外的匀强磁场,现有一束比荷
q
m
=102C/kg带正电粒子,从AC边中点P以平行于CD边的某一速度射入磁场,粒子的重力可忽略不计.
(1)若粒子进入磁场时的速度大小为v0=10m/s,求粒子在磁场中运动的轨道半径;
(2)若粒子能从AC边飞出磁场,求粒子在磁场中的运动时间;
(3)为使粒子能从CD边飞出磁场,粒子进入磁场时的速度大小应满足的条件?

查看答案和解析>>

科目:高中物理 来源: 题型:

如图所示,在边长为l的正方形区域内,有与y轴平行的匀强电场和垂直于纸面的匀强磁场.一个带电粒子(不计重力)从原点O沿x轴进入场区,恰好做匀速直线运动,穿过场区的时间为T0;若撤去磁场,只保留电场,其他条件不变,该带电粒子穿过场区的时间为
1
2
T0;若撤去电场,只保留磁场,其他条件不变,那么,该带电粒子穿过场区的时间应该是(  )

查看答案和解析>>

科目:高中物理 来源: 题型:

如图所示,在边长为l的正方形四个顶点A、B、C、D上依次放置电荷量为+q、+q、+q和-q的点电荷,求正方形中心O点的电场强度.

查看答案和解析>>

科目:高中物理 来源: 题型:

精英家教网如图所示,在边长为L的等边三角形ACD区域内,存在磁感应强度为B、方向垂直纸面向外的匀强磁场.现有一束质量为m、电荷量为+q的带电粒子,从AC边中点P、平行于CD边垂直磁场射入,粒子的重力可忽略不计.
(1)若粒子进入磁场时的速度大小为v0,求粒子在磁场中运动的轨道半径;
(2)为使粒子能从CD边飞出磁场,粒子进入磁场时的速度大小应满足什么条件?

查看答案和解析>>

同步练习册答案