精英家教网 > 高中物理 > 题目详情
用如图1所示的实验装置验证机械能守恒定律.实验所用的电源为学生电源,输出电压为6V的交流电和直流电两种.重锤从高处由静止开始下落,重锤上拖着的纸带打出一系列的点,对纸带上的点痕进行测量,即可验证机械能守恒定律.
(1)下面列举了该实验的几个操作步骤:
A.按照图示的装置安装器件;
B.将打点计时器接到电源的“直流输出”上;
C.用天平测出重锤的质量;
D.释放悬挂纸带的夹子,同时接通电源开关打出一条纸带;
E.测量纸带上某些点间的距离;
F.根据测量的结果计算重锤下落过程中减少的重力势能是否等于增加的动能.
其中没有必要进行的或者操作不当的步骤,将其选项对应的字母填在下面的空行内,并说明其原因.
答:______(写在答题卷上)

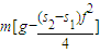
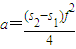
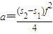
(2)利用这个装置也可以测量重锤下落的加速度a的数值.如图2所示,根据打出的纸带,选取纸带上的连续的五个点A、B、C、D、E,测出A距起始点O的距离为s,点AC间的距离为s1,点CE间的距离为s2,使用交流电的频率为f,根据这些条件计算重锤下落的加速度a=______.
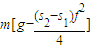
(3)在验证机械能守恒定律的实验中发现,重锤减小的重力势能总是大于重锤动能的增加,其原因主要是因为在重锤下落的过程中存在阻力作用,可以通过该实验装置测阻力的大小.若已知当地重力加速度公认的较准确的值为g,还需要测量的物理量是______.试用这些物理量和上图纸带上的数据符号表示出重锤在下落的过程中受到的平均阻力大小F=______.
【答案】分析:(1)通过实验的原理确定错误步骤和不需要的步骤.
(2)根据相等时间内的位移之差是一恒量,求出重锤下落的加速度.
(3)根据牛顿第二定律求出阻力的大小.
解答:解:(1)打点计时器应接在交流电源上,实验步骤B是错误的.应先接通电源,再释放纸带,所以步骤D是错误的.根据测量原理,重锤的动能和势能中都包含了质量m,可以约去.所以可以不测量质量,所以步骤C不必要.
(2)根据,T=得,加速度
(3)根据牛顿第二定律得,mg-f=ma,所以f=mg-ma=
故答案为:①步骤B是错误的.应该接到电源的交流输出端.步骤D是错误的,应该先接通电源,待打点稳定后再释放纸带.步骤C不必要,因为根据测量原理,重锤的动能和势能中都包含了质量m,可以约去.

③重锤的质量m,
点评:解决本题的关键知道实验的原理,会通过匀变速直线运动的推论求加速度,以及会通过牛顿第二定律求出阻力的大小.
练习册系列答案
相关习题

科目:高中物理 来源: 题型:

在探究加速度与力、质量的关系实验中,采用如图1所示的实验装置,小车及车中砝码的质量用M表示,盘及盘中砝码的质量用m表示,小车的加速度可由小车后拖动的纸带由打点计时器打上的点计算出.

①当M与m的大小关系满足
m《M
m《M
时,才可以认为绳对小车的拉力大小等于盘中砝码的重力.
②在验证牛顿第二定律的实验中,下列做法错误的是
CD
CD

A.平衡摩擦力时,应将盘及盘中的砝码用细绳通过定滑轮系在小车上
B.每次改变小车的质量时,不需要重新平衡摩擦力平衡摩擦力时,应将装砂的小桶用细绳绕过滑轮.
C.实验时先放开小车,再接通打点计时器电源.
D.小车运动的加速度可用天平测出M及m后直接用公式a=mg/M求出.
③在保持小车及车中的砝码质量M一定时,探究加速度与所受合力的关系时,由于平衡摩擦力时操作不当,两位同学得到的a-F关系分别如图2所示. 其原因分别是
没有平衡摩擦力或
没有平衡摩擦力或
平衡摩擦力不足
平衡摩擦力不足

查看答案和解析>>

科目:高中物理 来源: 题型:阅读理解

(2013?日照一模)(1)某同学在研究“对不同物体做相同功情况下,物体质量与速度的关系”时,提出了以下四种猜想:
A.m∞υ
B.m∞
1
υ

C.m∞υ2
D.m∞
1
υ2

为验证猜想的正确性,该同学用如图1所示的装置进行实验:将长木板平放在水平桌面上,木块固定在长木板一端,打点计时器固定在木块上,木块右侧固定一轻弹簧,用连接纸带的小车压缩弹簧至长木板的虚线处由静止释放,打点计时器在纸带上打下一系列点,选取点迹均匀的一部分纸带,计算出小车匀速运动的速度υ1,测出小车的质量m1;然后在小车上加砝码,再次压缩弹簧至木板虚线处由静止释放小车,计算出小车和砝码匀速运动的速度υ2,测出小车和砝码的总质量m2:再在小车上加砝码,重复以上操作,分别测出υ3、m3….

①每次实验中,都将小车压缩弹簧至长木板的虚线处由静止释放,目的是
小车获得相同的动能(弹簧对小车做功相同)
小车获得相同的动能(弹簧对小车做功相同)
;若要消除每次实验中小车和纸带受到的阻力对小车运动的影响,应进行的实验操作是
垫高木板固定打点计时器的一端,使小车连同纸带一起在木板上匀速运动(平衡摩擦力)
垫高木板固定打点计时器的一端,使小车连同纸带一起在木板上匀速运动(平衡摩擦力)

②某次实验采集的五组数据如表:由表格数据直观判断,明显不正确的两个猜想是A、B、C、D中的
AC
AC
;若对某个猜想进行数据处理并作图,画出了如图2所示的图象,则图中的横坐标应是
1
v2
1
v2

m/kg 0.10 0.20 0.30 0.40 0.50
v/(m?s-1 1.000 0.707 0.577 0.500 0..447
(2)冬、春季节降水量少,广东沿海附近江河水位较低,涨潮时海水倒灌,出现“咸潮”现象,使沿海地区的城市自来水中的离子浓度增高,电阻率变小,水质受到影响.某同学设计了一个监测河水电阻率的实验.在一根均匀长度玻璃管两端分别装上橡胶塞和铂电极,如图3所示,两电极相距L=0.314m,管内充满待测的河水.安装前用游标卡尺测量玻璃管的内径,测量结果如图4所示.
为测管内河水电阻供选器材有:
电压表V1:量程15V,内阻约30kΩ
电压表V2:量程3V,内阻约10kΩ
电流表A1:量程0.6A,内阻约0.5Ω
电流表A2:量程150mA,内阻约10Ω
滑动变阻器甲:最大值为10Ω,额定电流足够大
滑动变阻器乙:最大值为1kΩ,额定电流足够大
电源E1:电动势15V,内阻6Ω
电源E2:电动势3V,内阻2Ω
开关、导线若干.
该同学选用以上部分器材测出了9组数据,并在坐标系中标出,如图5所示.
①据图(2)读出玻璃管的内径d=
6.70
6.70
mm.
②实验时,所选用的电压表为
V1
V1
(填“V1”或“V2”),所选用的电流表为
A2
A2
(填“A1”或“A2”),所选的滑动变阻器为
(填“甲”或“乙”),所选的电源为
E1
E1
(填“E1”或“E2”).
③在答题卡的虚线框内画出该实验的原理图.

查看答案和解析>>

科目:高中物理 来源: 题型:阅读理解

(1)某同学利用如图1所示的实验装置来“验证钩码和滑块所组成的系统机械能守恒”.
①请完善以下实验步骤:
a.用游标卡尺测遮光条的宽度,多次测量取平均值L;
b.实验时,先接通气源,再调节气垫导轨,使导轨处于水平位置;
c.将滑块从图示位置由静止释放,读出遮光条通过光电门的时间△t;
d.计算出滑块通过光电门的速度v=
 
(用上述测量出的物理量表示).
②实验中还需要测量的物理量有:钩码的质量m、
 

 
(用文字说明和相应字母表示).
③本实验通过比较
 
 
,在实验误差允许的范围内相等(用测量的物理量符号表示),从而验证了系统的机械能守恒.
精英家教网
(2)某同学想测量某导电溶液的电阻率,先在一根均匀的长玻璃管两端各装了一个电极(接触电阻不计),两电极相距L=0.700m,其间充满待测的导电溶液.用如下器材进行测量:
电压表(量程l5V,内阻约30kΩ);     电流表(量程300μA,内约50Ω);
滑动变阻器(10Ω,1A);              电池组(电动势E=12V,内阻r=6Ω);
单刀单掷开关一个、导线若干.
下表是测量通过管中导电液柱的电流及两端电压的实验数据.实验中用20分度的游标卡尺测量了玻璃管的内径,结果如图3所示.
U/V 0 1.0 3.0 5.0 7.0 9.0 11.0
I/μA 0 22 65 109 155 175 240
根据以上所述请回答下面的问题:
①玻璃管内径d=
 
mm.
②请在图2中补画出未连接的导线.
③根据表数据在图4坐标中已描点,请作出U-I图象,由图象求出电阻R=
 
Ω(结果保留2位有效数字).
④计算该导电溶液的电阻率表达式是:ρ=
 
 (用R、d、L表示).

查看答案和解析>>

科目:高中物理 来源: 题型:

(2006?湖北模拟)某同学在做《自来水电阻率的测定》课题时,先在一根均匀的长玻璃管两端各装了一个电极,用如图1所示电路进行测量.两电极相距L=0.700m,其间充满待测的自来水.图中器材如下:

电压表(量程15V,内阻约30kΩ)、电流表(量程300μA,内阻约50Ω)、滑动变阻器(100Ω,1A)、电池组(电动势E=12V,内阻r=6Ω)、单刀单掷开关一个、导线若干.
表是他测量通过管中自来水柱的电流及两端电压的实验数据.实验中他还用20分度的游标卡尺测量了玻璃管的内径,结果如图2所示
U/V 1.0 3.0 5.0 7.0 9.0 11.0
I/μA 22 65 109 155 190 240
根据以上材料请回答下面的问题:
(1)玻璃管内径d的测量值为
3.075
3.075
cm;
(2)根据表1数据在图3坐标中作出U-I图象,根据图象求出电阻R=
4.6×104
4.6×104
Ω;
(3)用直接测量值计算自来水电阻率的公式是ρ=
πUd2
4IL
πUd2
4IL
,测量值为
49
49
Ω?m(保留两位有效数字);
(4)请在虚线框内画出测量自来水电阻的电路图.

查看答案和解析>>

科目:高中物理 来源:2013年山东省日照市高考物理一模试卷(解析版) 题型:解答题

(1)某同学在研究“对不同物体做相同功情况下,物体质量与速度的关系”时,提出了以下四种猜想:
A.m∞υ
B.
C.m∞υ2
D.
为验证猜想的正确性,该同学用如图1所示的装置进行实验:将长木板平放在水平桌面上,木块固定在长木板一端,打点计时器固定在木块上,木块右侧固定一轻弹簧,用连接纸带的小车压缩弹簧至长木板的虚线处由静止释放,打点计时器在纸带上打下一系列点,选取点迹均匀的一部分纸带,计算出小车匀速运动的速度υ1,测出小车的质量m1;然后在小车上加砝码,再次压缩弹簧至木板虚线处由静止释放小车,计算出小车和砝码匀速运动的速度υ2,测出小车和砝码的总质量m2:再在小车上加砝码,重复以上操作,分别测出υ3、m3….

①每次实验中,都将小车压缩弹簧至长木板的虚线处由静止释放,目的是______;若要消除每次实验中小车和纸带受到的阻力对小车运动的影响,应进行的实验操作是______.
②某次实验采集的五组数据如表:由表格数据直观判断,明显不正确的两个猜想是A、B、C、D中的______;若对某个猜想进行数据处理并作图,画出了如图2所示的图象,则图中的横坐标应是______.
m/kg0.100.200.300.400.50
v/1.0000.7070.5770.5000..447
(2)冬、春季节降水量少,广东沿海附近江河水位较低,涨潮时海水倒灌,出现“咸潮”现象,使沿海地区的城市自来水中的离子浓度增高,电阻率变小,水质受到影响.某同学设计了一个监测河水电阻率的实验.在一根均匀长度玻璃管两端分别装上橡胶塞和铂电极,如图3所示,两电极相距L=0.314m,管内充满待测的河水.安装前用游标卡尺测量玻璃管的内径,测量结果如图4所示.
为测管内河水电阻供选器材有:
电压表V1:量程15V,内阻约30kΩ
电压表V2:量程3V,内阻约10kΩ
电流表A1:量程0.6A,内阻约0.5Ω
电流表A2:量程150mA,内阻约10Ω
滑动变阻器甲:最大值为10Ω,额定电流足够大
滑动变阻器乙:最大值为1kΩ,额定电流足够大
电源E1:电动势15V,内阻6Ω
电源E2:电动势3V,内阻2Ω
开关、导线若干.
该同学选用以上部分器材测出了9组数据,并在坐标系中标出,如图5所示.
①据图(2)读出玻璃管的内径d=______mm.
②实验时,所选用的电压表为______(填“V1”或“V2”),所选用的电流表为______(填“A1”或“A2”),所选的滑动变阻器为______(填“甲”或“乙”),所选的电源为______(填“E1”或“E2”).
③在答题卡的虚线框内画出该实验的原理图.

查看答案和解析>>

同步练习册答案