精英家教网 > 高中物理 > 题目详情
一辆汽车在十字路口遇到红灯停下,当绿灯亮时汽车以加速度a由静止开始匀加速行驶,恰在此时,一辆摩托车以12m/s的速度匀速行驶来与汽车同向行驶,汽车在后面追摩托车,当汽车追上摩托车时的速度是多大( )
A.12m/s
B.24m/s
C.48m/s
D.条件不足,无法确定
【答案】分析:当汽车追上摩托车时,两者位移相等,抓住位移关系,根据匀变速直线运动的运动规律求出汽车的速度.
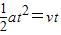
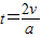
解答:解:两者位移相等时有:.得
则汽车追上摩托车的速度v=at=2v=24m/s.故B正确,A、C、D错误.
故选B.
点评:本题属于追及问题,关键抓住位移相等,运用匀变速直线运动公式求解.本题还可以通过速度时间图象求解.
练习册系列答案
相关习题

科目:高中物理 来源: 题型:

一辆汽车在十字路口遇红灯,当绿灯亮时汽车以4米/秒2的加速度开始行驶,恰在此时,一辆摩托车以10米/秒的速度匀速驶来与汽车同向行驶,汽车在后追摩托车,求:
(1)汽车从路口开始加速起,在追上摩托车之前两车相距的最大距离是多少;
(2)汽车经过多少时间能追上摩托车?此时汽车的速度是多大?

查看答案和解析>>

科目:高中物理 来源: 题型:

一辆汽车在十字路口遇红灯,当绿灯亮时汽车以4m/s2的加速度开始行驶,恰在此时,一辆摩托车以10m/s的速度匀速驶来与汽车同向行驶,汽车在后追摩托车,求:

(1)汽车从路口开始加速起,在追上摩托车之前两车相距的最大距离是多少;

(2)汽车经过多少时间能追上摩托车?

查看答案和解析>>

科目:高中物理 来源:2011-2012学年吉林省长春市高一上学期期末考试物理试卷(带解析) 题型:计算题

(10分)一辆汽车在十字路口遇红灯,当绿灯亮时汽车以4 m/s2的加速度开始行驶,恰在此时,一辆摩托车以10 m/s的速度匀速驶来与汽车同向行驶,汽车在后面追摩托车,求:
(1)汽车从路口开始加速,在追上摩托车之前两车相距的最大距离是多少?
(2)汽车经过多少时间能追上摩托车?追上时汽车的速度是多大?

查看答案和解析>>

科目:高中物理 来源:2014届吉林省长春市高一上学期期末考试物理试卷(解析版) 题型:计算题

(10分)一辆汽车在十字路口遇红灯,当绿灯亮时汽车以4 m/s2的加速度开始行驶,恰在此时,一辆摩托车以10 m/s的速度匀速驶来与汽车同向行驶,汽车在后面追摩托车,求:

(1)汽车从路口开始加速,在追上摩托车之前两车相距的最大距离是多少?

(2)汽车经过多少时间能追上摩托车?追上时汽车的速度是多大?

 

查看答案和解析>>

科目:高中物理 来源: 题型:

(10分)一辆汽车在十字路口遇红灯,当绿灯亮时汽车从静止以4m/s2的加速度开始行驶,恰在此时,一辆摩托车以10m/s的速度匀速驶来与汽车同向行驶,汽车在后追摩托车,求:

(1)汽车从路口开始加速起,在追上摩托车之前两车相距的最大距离是多少?

(2)汽车经过多少时间能追上摩托车?

查看答案和解析>>

同步练习册答案