精英家教网 > 高中物理 > 题目详情

小球从高h0=120m处自由下落, 着地后跳起, 又落下. 每与地面相碰一次, 速度减少(n=2). 小球下落到停止的总时间t=______s. 总路程s=______m (g取10m/s2).

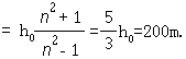
答案:15,200
解析:

解: 每次跳起的高度依次为

      h1=, h2=, …, hm=

    总路程∑S = h0+2h1+2h2+…+2hm = h0+2

              

              

总时间∑t = t0+t1+t2+…+tm = v0+…+v0

        


练习册系列答案
相关习题

科目:高中物理 来源: 题型:

一小球从高为5m处,以大小为2m/s的水平速度抛出,图中所示的虚线为小球做平抛运动轨迹的一部分.不计空气阻力,重力加速度g取10m/s2.求:
(1)小球从抛出到落至地面的水平距离;
(2)小球落至地面时速度的大小;
(3)在图中测得AB、BC间的水平距离sAB=sBC=0.4m,高度差hAB=0.6m,求高度差hBC

查看答案和解析>>

科目:高中物理 来源: 题型:

小球从高4.9m处由静止开始自由下落,g=9.8m/s2,求:
(1)小球到达地面的时间
(2)小球到达地面的速度.

查看答案和解析>>

科目:高中物理 来源: 题型:

不计空气阻力,一小球从高h=20m处第一次以v0初速度被水平抛出,则小球落地点与抛出点之间的水平距离为5m,第二次以2v0处速度从高H=45m高处水平抛出,则小球落地点与抛出点之间的水平距离为多少?

查看答案和解析>>

科目:高中物理 来源: 题型:

如图所示,ABC为一固定在竖直平面内的光滑轨道,BC段水平,AB段与BC段平滑连接.质量为m1的小球从高为h处由静止开始沿轨道下滑,与静止在轨道BC段上质量为m2的小球发生碰撞,碰撞前后两球的运动方向处于同一水平线上,且在碰撞过程中无机械能损失.求碰撞后小球m2的速度大小V2

查看答案和解析>>

同步练习册答案