精英家教网 > 高中物理 > 题目详情
一个滑雪的人,质量m=60kg,以v0=2m/s的初速度沿倾角θ=30°山坡匀加速滑下,在t=10s的时间内滑下的路程x=100m。(g取10m/s2
(1)作出滑雪人的受力图;
(2)求滑雪人的加速度;
(3)求滑雪人受到的阻力。
解:(1)图“略”
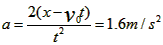
(2)由x=v0t+at2
         解出:
(3)根据牛顿第二定律有:mgsin300-Ff=ma
                                            Ff= mgsin300-ma
        代入数值得:Ff=204N
练习册系列答案
相关习题

科目:高中物理 来源: 题型:

一个滑雪的人,质量m=75kg,以v0=2m/s的初速度沿山坡匀加速滑下,山坡的倾角θ=30°,在t=5s的时间内滑下的路程x=60m,求滑雪人受到的阻力(包括摩擦和空气阻力,g=10m/s2).

查看答案和解析>>

科目:高中物理 来源: 题型:

一个滑雪的人,质量m=60kg,以v0=2m/s的初速度沿倾角θ=30°山坡匀加速滑下,在t=10s的时间内滑下的路程x=100m.(g取10m/s2
(1)作出滑雪人的受力图;
(2)求滑雪人的加速度;
(3)求滑雪人受到的阻力.

查看答案和解析>>

科目:高中物理 来源: 题型:

一个滑雪的人,质量m=75kg,以v0=2m/s的初速度沿山坡匀加速地滑下,山坡的倾角θ=30°,在t=5s的时间内滑下的路程s=60m,求滑雪人受到的阻力(包括滑动摩擦和空气阻力,g=9.8 m/s2).?

查看答案和解析>>

科目:高中物理 来源: 题型:解答题

一个滑雪的人,质量m=75kg,以v0=2m/s的初速度沿山坡匀加速滑下,山坡的倾角θ=30°,在t=5s的时间内滑下的路程x=60m,求滑雪人受到的阻力(包括摩擦和空气阻力,g=10m/s2).

查看答案和解析>>

科目:高中物理 来源: 题型:

 一个滑雪的人,质量m=60kg,以v0=2m/s的初速度沿山坡匀加速滑下,山坡的倾角θ=30°,在t=5s的时间内滑下的路程s=35m,取g=10m/s2,求滑雪人下滑的加速度和受到的阻力大小.

 

 

 

 

 

 

 

 

查看答案和解析>>

同步练习册答案