ÔÚ¡°Óõ¥°Ú²âÖØÁ¦¼ÓËÙ¶È¡±µÄʵÑéÖУ¬Ä³Í¬Ñ§ÀûÓÃÒ»¸ö°Ú³¤¿Éµ÷½ÚµÄµ¥°Ú×öʵÑ飬ʵÑé¹ý³ÌÊÇ£º½«µ¥°ÚµÄÐüÏßµ÷½ÚΪijһ³¤¶È£®ÓÃÃ׳ßÁ¿³öÐüÏß³¤¶ÈL(L²»°üÀ¨°ÚÇò°ë¾¶)£¬ÈðÚÇò°Ú¶¯(°Ú½Ç²»³¬¹ý5¡ã)£®ÓÃÃë±í²â³öµ¥°ÚµÄÖÜÆÚT£¬ÔÙËã³öÖÜÆÚTµÄƽ·½Öµ£»È»ºó½«µ¥°ÚµÄÐüÏßµ÷½ÚΪÆäËü³¤¶È£¬Öظ´Ç°ÃæµÄʵÑé²½ÖèµÃµ½Îå×éʵÑéÊý¾Ý£¬ÈçϱíËùʾ£®

¢Ù½«µÃµ½µÄÎå×éÊý¾Ý»­ÔÚÒÔLΪºá×ø±ê£¬ÒÔT2Ϊ×Ý×ø±êµÄ×ø±êͼÉÏ£¬¸ù¾ÝÕâЩÊý¾ÝÔÚͼÖÐ×÷³öT2ÓëLµÄ¹ØÏµÍ¼Ïߣ®

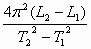
¢ÚÀûÓÃT2ÓëLµÄ¹ØÏµÍ¼Ïߣ¬¼ÆËã³öÖØÁ¦¼ÓËٶȵıí´ïʽÊÇg£½________

¢Û²âµÃµÄgÖµÊÇ________(½á¹û±£ÁôÈýλÓÐЧÊý×Ö)

´ð°¸£º
½âÎö£º

¡¡¡¡¢ÙÂÔ

¡¡¡¡¢Úg£½

¡¡¡¡¢Û9.86(9.80£­9.90¾ù¿É)


Á·Ï°²áϵÁдð°¸
Ïà¹ØÏ°Ìâ

¿ÆÄ¿£º¸ßÖÐÎïÀí À´Ô´£º ÌâÐÍ£º

ijͬѧÔÚ×ö¡°ÀûÓõ¥°Ú²âÖØÁ¦¼ÓËÙ¶È¡±ÊµÑéÖУ¬ÏȲâµÃ°ÚÏß³¤L£»°ÚÇò°ë¾¶r£¬È»ºóÓÃÃë±í¼Ç¼Á˵¥°ÚÕñ¶¯N´ÎÈ«Õñ¶¯ËùÓõÄʱ¼äΪt£¬Ôò
£¨1£©ÓÃÒÔÉÏÖ±½Ó²âÁ¿µÄÎïÀíÁ¿±íÊ¾ÖØÁ¦¼ÓËÙg=
4¦Ð2(L+r)N2
t2
4¦Ð2(L+r)N2
t2
£®
£¨2£©Èç¹û²âµÃgֵƫС£¬¿ÉÄܵÄÔ­ÒòÊÇ
B
B

A£®²â°ÚÏß³¤Ê±°ÚÏßÀ­µÃ¹ý½ô
B£®°ÚÏßÉ϶ËδÀι̵ØÏµÓÚÐüµã£¬Õñ¶¯ÖгöÏÖËɶ¯£¬Ê¹°ÚÏß³¤¶ÈÔö¼ÓÁË
C£®¿ªÊ¼¼ÆÊ±£¬Ãë±í¹ý³Ù°´Ï      
D£®ÊµÑéÖÐÎó½«49´ÎÈ«Õñ¶¯¼ÇÊýΪ50´Î£®

²é¿´´ð°¸ºÍ½âÎö>>

¿ÆÄ¿£º¸ßÖÐÎïÀí À´Ô´£º ÌâÐÍ£º

£¨2005?ÑĮ̀ģÄ⣩Óõ¥°Ú²âÖØÁ¦¼ÓËٶȵÄʵÑéÖУ¬ÀûÓò»Í¬°Ú³¤£¨l£©Ëù¶ÔÓ¦µÄÖÜÆÚ£¨T£©½øÐÐÊý¾Ý´¦Àíʱ£º
£¨1£©¼×ͬѧÒÔ°Ú³¤£¨l£©Îªºá×ø±ê£¬ÖÜÆÚµÄÆ½·½£¨T2£©Îª×Ý×ø±ê×ö³öT2-lͼÏߣ¬ÈôËû²âµÃͼÏßµÄбÂÊΪK£¬Ôò²âµÃµÄÖØÁ¦¼ÓËÙg=
4¦Ð2
k
4¦Ð2
k
£®
Èô¼×ͬѧÔÚ²â°Ú³¤Ê±£¬°Ñ´ÓÐüµãµ½Ð¡Çò×î϶˶¼Ëã³É°Ú³¤£¬ÔòËûÓÃͼÏß²âµÃµÄÖØÁ¦¼ÓËÙ¶ÈÖµ½«
׼ȷ
׼ȷ
£¨ÌƫС¡±¡°Æ«´ó¡±»ò¡°×¼È·¡±£©£®
£¨2£©ÒÒͬѧ¸ù¾Ý¹«Ê½T=2¦Ð
l
g
µÃ³ög=
4¦Ð2l
T2
À´¼ÆËã¼ÓËÙ¶È£¬ËûÔÚ²â°Ú³¤Ê±£¬Ò²°Ñ´ÓÐüµãµ½Ð¡Çò×î϶˶¼Ëã³É°Ú³¤£¬Ëû²âµÃµÄÖØÁ¦¼ÓËÙ¶ÈÖµ½«
Æ«´ó
Æ«´ó
£¨ÌƫС¡±¡¢¡°Æ«´ó¡±»ò¡°×¼È·¡±£©£®

²é¿´´ð°¸ºÍ½âÎö>>

¿ÆÄ¿£º¸ßÖÐÎïÀí À´Ô´£º ÌâÐÍ£ºÔĶÁÀí½â

I¡¢ÔÚ¡°Óõ¥°Ú²âÖØÁ¦¼ÓËÙ¶È¡±µÄʵÑéÖУ¬ÏÂÁÐ˵·¨ÖÐÕýÈ·µÄÊÇ
 

A£®ÔÚ×é×°µ¥°Úʱ£¬ÈÃϸÏßµÄÒ»¶Ë´©¹ý°ÚÇòµÄС¿×£¬È»ºó£¬´òÒ»¸ö±ÈС¿×´óµÄÏ߽ᣬÏßµÄÁí Ò»¶ËÓÃÌú¼Ð¹Ì¶¨ÔÚÌú¼Ų̈ÉÏ£¬ÕâÑù×öÊÇΪÁ˱£Ö¤°ÚÇòÔÚͬһÊúÖ±Æ½ÃæÄÚ°Ú¶¯£¬²»ÐγÉÔ²×¶°Ú
B£®ÔÚ×é×°ºÃµ¥°Úºó£¬ÈðÚÇò×ÔÓÉÏ´¹£¬Èç¹ûÓÃÃ׳ßÁ¿³öÐüµãµ½°ÚÇòµÄ×îµÍ¶ËµÄ³¤¶ÈΪl£¬ÓÃÂÝÐý²â΢Æ÷²â³ö°ÚÇòµÄÖ±¾¶Îªd£¬ÄÇô£¬µ¥°ÚµÄ°Ú³¤Îªl+
d
2
£®
C£®ÔڼǼµ¥°ÚµÄ°Ú¶¯´ÎÊýʱ£¬ÊÇ´Ó°ÚÇòͨ¹ýƽºâλÖÿªÊ¼¼Æ_£¬¼ÇϰÚÇòÿ´ÎÑØÍ¬Ò»·½Ïòͨ¹ýƽºâλÖõĴÎÊýn£¬Í¬Ê±ÓÃÍ£±í²â³öËùÓõÄʱ¼ät£¬ÄÇô£¬µ¥°ÚµÄÖÜÆÚΪ
t
n

D£®ÔڼǼµ¥°ÚµÄ°Ú¶¯´ÎÊýʱ£¬ÊÇ´Ó°ÚÇòͨ¹ýƽºâλÖÿªÊ¼¼ÆÊ±£¬Í¬Ê±½«´Ë´Îͨ¹ý×îµÍµã ¼ÇΪµÚÒ»´Î£¬¼ÇϰÚÇòÿ´ÎÑØÍ¬Ò»·½Ïòͨ¹ýƽºâλÖõĴÎÊýn£¬ÓÃÍ£±í²â³öËùÓõÄʱ¼ät£¬ÄÇô£¬µ¥°ÚµÄÖÜÆÚΪ
2t
n-1

II¡¢Èçͼ1Ëùʾ£¬ÊÇijʵÑéС×éÓùâµç¼ÆÊ±Æ÷£¨Í¼ÖÐδ»­³ö£©£¬À´¡°Ì½¾¿¼ÓËÙ¶ÈÓëÁ¦¡¢ÖÊÁ¿µÄ¹Ø Ïµ¡±ºÍ¡°Ñо¿ºÏÍâÁ¦×ö¹¦ºÍ¶¯Äܱ仯µÄ¹ØÏµ¡±µÄʵÑé ×°ÖÃͼ£®
£¨1£©ÔÚÕâÁ½¸öʵÑéÖУ¬¹ØÓÚ¡°Æ½ºâĦ²ÁÁ¦¡±µÄ˵ ·¨ÖÐÕýÈ·µÄÊÇ
 
£®
A£®Æ½ºâĦ²ÁÁ¦ºó£¬Èç¹û¸Ä±äС³µ»òíÀÂëÅÌÖÐíÀÂëµÄÖÊÁ¿£¬ÐèÒªÖØÐÂÆ½ºâĦ²ÁÁ¦
B£®Æ½ºâĦ²ÁÁ¦µÄʵÖÊÊÇС³µµÄÖØÁ¦ÑØÄ¾°å·½ÏòµÄ·ÖÁ¦ÓëС³µºÍÖ½´øËùÊܵÄĦ²ÁÁ¦Æ½ºâ
C£®Æ½ºâĦ²ÁÁ¦Òª´ïµ½µÄ±ê×¼ÊÇ£ºÔÚíÀÂëÅ̺ÍíÀÂëµÄÇ£ÒýÏ£¬Ð¡³µ´ø¶¯Ö½´ø´Ó³¤Ä¾°åµÄÒ» ¶ËÏòÓж¨»¬ÂÖµÄÁíÒ»¶ËÔÈËÙ»¬ÏÂ
D£®³·µôíÀÂëÅ̺ÍϸÉþ£¬ÈôС³µÍÏ×ÅÖ½´øÑس¤Ä¾°å»¬ÏÂʱ£¬´òµã¼ÆÊ±Æ÷ÔÚÖ½´øÉÏ´ò³öµãµÄ ¼ä¾àÊǾùÔȵ쬾ÍóëÍê³ÉÁË¡°Æ½ºâĦ²ÁÁ¦¡±
£¨2£©Èçͼ2Ëùʾ£¬ÊÇÓÃÀ´¡°Ì½¾¿¼ÓËÙ¶ÈÓëÁ¦¡¢ÖÊÁ¿µÄ¹ØÏµ¡±µÄ ÊµÑé×°ÖüòÒ×·Å´óʾÒâͼͼÖÐMNÊÇˮƽ×ÀÃæ£¬PQΪ³¤Ä¾ °å£¬¡°1¡±ºÍ¡°2¡±Êǹ̶¨ÔÚ³¤Ä¾°åÉÏÊʵ±Î»ÖõÄÁ½¸ö¹âµçÃÅ£¨ÓëÖ®Á¬½ÓµÄÁ½¸ö¹âµç¼ÆÊ±Æ÷ûÓл­³ö£©£¬ËüÃÇÖ®¼äµÄ¾àÀëΪ 0.50m£®ÔÚ°²×°ºÃʵÑé×°Öú󣬽«Ð¡³µA·ÅÔÚ¹âµçÃÅ¡°1¡±µÄÉÏ ·½£¬Ê¹ËüÔÚÉþ×ÓÇ£ÒýÁ¦µÄ×÷ÓÃÏ£¬´Ó¾²Ö¹¿ªÊ¼Ñس¤Ä¾°å×öÔȼÓËÙÖ±ÏßÔ˶¯£¬²âµÃС³µAͨ¹ý¹âµçÃÅ¡°1¡±µÄʱ¼äΪ0.20s£¬Í¨¹ý¹âµçÃÅ¡°2¡±µÄʱ¼äΪ0.1Os£®Ôò£º
¢ÙÈçͼ3Ëùʾ£¬ÊÇС³µÉϵĵ²¹âƬµÄ¿í¶ÈÓÃÓα꿨³ß²âµÃµÄʾÒâ Í¼£®ÓÉͼ¿ÉÖª£¬µ²¹âƬµÄ¿í¶ÈΪ
 
mm£®
¾«Ó¢¼Ò½ÌÍø¾«Ó¢¼Ò½ÌÍø
¢ÚС³µÍ¨¹ý¹âµçÃÅ¡°2¡±µÄËÙ¶È´óСΪ
 
m/s£¨±£Áô¶þλÓÐЧÊý×Ö£©£®
¢ÛС³µµÄ¼ÓËÙ¶È´óСΪ
 
m/s2£¨±£Áô¶þλÓÐЧÊý×Ö£©£®
¢ÜÔÚ¸ÃʵÑéÖУ¬Èç¹ûС³µ¼°³µÉϵÄíÀÂëµÄ×ÜÖÊÁ¿ÎªM£¬íÀÂëÅ̺ÍíÀÂëµÄ×ÜÖÊÁ¿Îªm£¬ÄǠô£¬ÏÂÁÐͼÏóÖв»¿ÉÄܳöÏÖµÄÊÇ
 
£®
¾«Ó¢¼Ò½ÌÍø
£¨3£©ÈçͼËùʾ£¬ÊÇÔÚ¡°Ñо¿ºÏÍâÁ¦×ö¹¦ºÍ¶¯Äܱ仯µÄ¹ØÏµ¡±µÄʵÑéÖУ¬µÃµ½µÄÒ»ÌõÖ½´ø£¬Æä ÖУ¬OΪÆðʼµã£¬A¡¢B¡¢C¡¢D¡¢EÒÀ´ÎΪÏàÁڵļÆÊýµã£¬ÏàÁÚÁ½¸ö¼ÆÊýµãÖ®¼ä»¹ÓÐn¸öµãδ±ê³ö£®Èç¹û´òµã¼ÆÊ±Æ÷ʹÓõĽ»Á÷µçµÄƵÂÊΪf£¬Ð¡³µºÍ íÀÂëµÄ×ÜÖÊÁ¿ÎªM£¬íÀÂëÅ̺ÍíÀÂëµÄ×ÜÖÊÁ¿Îªm£¬ÄÇô£¬ÔÚÂú×ãʵÑéÒªÇóµÄÌõ¼þÇé¿öÏ£¬ÐèҪ̽¾¿µÄ±í´ïʽÊÇ
 
£¨ÓÃÌâÖкÍͼÖеÄ×Öĸ±íʾ£©£®

²é¿´´ð°¸ºÍ½âÎö>>

¿ÆÄ¿£º¸ßÖÐÎïÀí À´Ô´£º ÌâÐÍ£º

£¨1£©2004Äê7ÔÂ25ÈÕ£¬ÖйúÓó¤Õ÷ÔËÔØ»ð¼ý³É¹¦µÄ·¢ÉäÁË¡°Ì½²â¶þºÅ¡±ÎÀÐÇ¡£Í¼¼×ÊÇij¼à²âϵͳÿ¸ô2.5 sÅÄÉãµÄ¹ØÓÚÆðʼ¼ÓËٽ׶λð¼ýµÄÒ»×éÕÕÆ¬¡£ÒÑÖª»ð¼ýµÄ³¤¶ÈΪ40 m£¬Óÿ̶ȳ߲âÁ¿ÕÕÆ¬Éϵij¤¶È¹ØÏµ£¬½á¹ûÈçͼ¼×Ëùʾ¡£»ð¼ýµÄ¼ÓËÙ¶Èa=___________£¬»ð¼ýÔÚÕÕÆ¬ÖеÚ2¸öÏñËù¶ÔӦʱ¿ÌµÄ˲ʱËÙ¶È´óСv=___________¡£

          

ͼ¼×                                                           Í¼ÒÒ

ͼ±û

£¨2£©ÔÚ×ö¡°ÀûÓõ¥°Ú²âÖØÁ¦¼ÓËÙ¶È¡±ÊµÑéÖУ¬Ä³Í¬Ñ§ÏȲâµÃ°ÚÏß³¤Îª89.20 cm£¬°ÚÇòÖ±¾¶ÈçÉÏͼÒÒËùʾ£¬È»ºóÓÃÃë±í¼Ç¼Á˵¥°ÚÕñ¶¯30´ÎÈ«Õñ¶¯ËùÓõÄʱ¼äÈçͼ±ûËùʾ£¬Ôò

ͼ¶¡

¢Ù¸Ãµ¥°ÚµÄ°Ú³¤Îª___________cm£¬Ãë±íËùʾ¶ÁÊýΪ___________s¡£

¢ÚÈç¹û¸Ãͬѧ²âµÃµÄgֵƫ´ó£¬¿ÉÄܵÄÔ­ÒòÊÇ¡£

A.²â°ÚÏß³¤Ê±¼ÇÈëµÄÊǰÚÇòµÄÖ±¾¶

B.¿ªÊ¼¼ÆÊ±Ê±£¬Ãë±í¹ý³Ù°´ÏÂ

C.°ÚÏßÉ϶ËδÀι̵ØÏµÓÚÐüµã£¬Õñ¶¯ÖгöÏÖËɶ¯£¬Ê¹°ÚÏß³¤¶ÈÔö¼ÓÁË

D.ÊÔÑéÖÐÎó½«29´ÎÈ«Õñ¶¯ÊýΪ30´Î

¢ÛΪÁËÌá¸ßʵÑ龫¶È£¬ÔÚʵÑéÖпɸı伸´Î°Ú³¤l£¬²â³öÏàÓ¦µÄÖÜÆÚT£¬´Ó¶øµÃ³öÒ»×é¶ÔÓ¦µÄlÓëTµÄÊýÖµ£¬ÔÙÒÔlΪºá×ø±êT2Ϊ×Ý×ø±ê£¬½«ËùµÃÊý¾ÝÁ¬³ÉÖ±ÏßÈçͼ¶¡Ëùʾ£¬Ôò²âµÃµÄÖØÁ¦¼ÓËÙ¶Èg=___________¡£

²é¿´´ð°¸ºÍ½âÎö>>

¿ÆÄ¿£º¸ßÖÐÎïÀí À´Ô´£ºÑĮ̀ģÄâ ÌâÐÍ£ºÎÊ´ðÌâ

Óõ¥°Ú²âÖØÁ¦¼ÓËٶȵÄʵÑéÖУ¬ÀûÓò»Í¬°Ú³¤£¨l£©Ëù¶ÔÓ¦µÄÖÜÆÚ£¨T£©½øÐÐÊý¾Ý´¦Àíʱ£º
£¨1£©¼×ͬѧÒÔ°Ú³¤£¨l£©Îªºá×ø±ê£¬ÖÜÆÚµÄÆ½·½£¨T2£©Îª×Ý×ø±ê×ö³öT2-lͼÏߣ¬ÈôËû²âµÃͼÏßµÄбÂÊΪK£¬Ôò²âµÃµÄÖØÁ¦¼ÓËÙg=______£®
Èô¼×ͬѧÔÚ²â°Ú³¤Ê±£¬°Ñ´ÓÐüµãµ½Ð¡Çò×î϶˶¼Ëã³É°Ú³¤£¬ÔòËûÓÃͼÏß²âµÃµÄÖØÁ¦¼ÓËÙ¶ÈÖµ½«______£¨ÌƫС¡±¡°Æ«´ó¡±»ò¡°×¼È·¡±£©£®
£¨2£©ÒÒͬѧ¸ù¾Ý¹«Ê½T=2¦Ð
l
g
µÃ³ög=
4¦Ð2l
T2
À´¼ÆËã¼ÓËÙ¶È£¬ËûÔÚ²â°Ú³¤Ê±£¬Ò²°Ñ´ÓÐüµãµ½Ð¡Çò×î϶˶¼Ëã³É°Ú³¤£¬Ëû²âµÃµÄÖØÁ¦¼ÓËÙ¶ÈÖµ½«______£¨ÌƫС¡±¡¢¡°Æ«´ó¡±»ò¡°×¼È·¡±£©£®

²é¿´´ð°¸ºÍ½âÎö>>

ͬ²½Á·Ï°²á´ð°¸