精英家教网 > 高中物理 > 题目详情

【题目】如图所示,一通电长直导线MN中电流方向向右,其周围磁场的磁感应强度大小为B= ,式中k为常量,I为电流强度,r为距导线的距离,在MN正下方用细线悬挂一正方形线框abcd,线框ad边与MN间的距离为L,线框中通有逆时针方向的电流,当直导线MN中的电流方向不变,电流大小为I时ad边所受安培力与电流大小为3I时bc边所受安培力大小相等,则(  )

A.细线中的张力小于线框的重力
B.细线中的张力大于线框的重力
C.线框边长为2L
D.线框边长为3L

【答案】B,C
【解析】解:A、导线MN在其下方产生的磁场方向垂直于纸面向里,离MN导线越远,磁场越弱,根据F=BIL可知,ad边受到的安培力向下,bc边受到的安培力向上,且ad边受到的安培力大于bc边受到的安培力,故线框受到的安培力向下,根据共点力平衡可知细线中的张力大于线框的重力,A不符合题意,B符合题意;

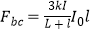
C、当电流为I时,则 ,当电流为3I时,则 ,Fad=Fbc联立解得l=2L,C符合题意,D不符合题意

故答案为:BC

通电导线MN在其周围产生磁场,离导线越远,磁场越弱,通电导线在磁场中受到的安培力的方向,根据判断出大小即可判断。

练习册系列答案
相关习题

科目:高中物理 来源: 题型:

【题目】质量为5 kg的物体受到水平推力F的作用,沿水平面做直线运动,一段时间后撤去F,由于受摩擦力作用,最后停止运动。其运动的vt图象所示。g10 m/s2,求:

(1)6--10S物体加速度大小a1,0--6S物体加速度大小a2?

(2)物体受到地面的摩擦力?

(3)水平推力F的大小

查看答案和解析>>

科目:高中物理 来源: 题型:

【题目】有一个交流电源,电源电动势随时间变化的规律如图所示,把一个阻值为10Ω的电阻接到该电源上,电源内阻不计,构成闭合回路.以下说法中正确的是( )

A.电压的有效值为10V
B.通过电阻的电流有效值为1A
C.电阻每秒种产生的热量为10J
D.电阻消耗电功率为5W

查看答案和解析>>

科目:高中物理 来源: 题型:

【题目】如图所示,水平传送带以2 m/s的速度运动,传送带长AB=20 m,今在其左端将一工件轻轻放在上面,工件被带动传送到右端,已知工件与传送带间的动摩擦因数μ=0.1,试求:(g=10 m/s2)

(1)工件开始时的加速度a

(2)工件加速到2 m/s时,工件运动的位移;

(3)工件由传送带左端运动到右端的时间.

查看答案和解析>>

科目:高中物理 来源: 题型:

【题目】如图所示,在水平木制桌面上平放一个铜制的圆环,在它上方近处有一个N极朝下的条形磁铁,铜环始终静止.关于铜环对桌面的压力F和铜环重力G的大小关系,下列说法中正确的是( )

A.当条形磁铁靠近铜环时,F>G
B.当条形磁铁远离铜环时,F<G
C.无论条形磁铁靠近还是远离铜环,F=G
D.无论条形磁铁靠近还是远离铜环,F>G

查看答案和解析>>

科目:高中物理 来源: 题型:

【题目】如图所示,有两根和水平方向成α角的光滑平行金属导轨,上端接有可变电阻R,下端足够长,空间有垂直于轨道平面的匀强磁场,磁感应强度为B,一根质量为m的金属杆从轨道上由静止滑下,经过足够长的时间后,金属杆的速度会趋近于一个最大速度vm , 则( )

A.如果B增大,vm将变大
B.如果α变大,vm将变大
C.如果R变大,vm将变大
D.如果m变小,vm将变大

查看答案和解析>>

科目:高中物理 来源: 题型:

【题目】小杨和小王在同一住宅楼居住,小杨家在顶层31楼,一天他们一起从1楼乘电梯回家,已知每层高度为3m,电梯的最大速度为4m/s,在加速和减速时电梯的加速度大小均为1m/s2 , 则(  )
A.小王家在2楼时小杨乘坐电梯的时间和小王家在30楼时小杨乘坐电梯的时间相等
B.小王家在7楼时小杨乘坐电梯的时间和小王家在17楼时小杨乘坐电梯的时间相等
C.小王家在2楼时小杨乘坐电梯的时间比小王家在28楼时小杨乘坐电梯的时间长
D.小王家在3楼时小杨乘坐电梯的时间比小王家在15楼时小杨乘坐电梯的时间短

查看答案和解析>>

科目:高中物理 来源: 题型:

【题目】在“描绘小灯泡伏安特性曲线”的实验中,小灯泡的额定电压为2.5V,实验电路部分已经连好,实验时,根据测量数据在I﹣U坐标系中描出的坐标点如图所示.

(1)将未连接好的电路连接完整
(2)在I﹣U坐标系中,根据描出的坐标点,作出小灯泡的伏安特性曲线.
(3)小灯泡的额定功率为W,在图线BC段,小灯泡的电阻是的(填“变化”或“不变”)

查看答案和解析>>

科目:高中物理 来源: 题型:

【题目】如图所示,水平放置的平行金属导轨相距l=0.50m,左端接一电阻R=0.20欧,磁感应强度B=0.40T的匀强磁场,方向垂直于导轨平面,导体棒ab垂直放在导轨上,并能无摩擦的沿导轨滑动,导轨和导体棒的电阻均可忽略不计,当ab以=4.0m/s的速度水平向右匀速滑动时,求:

(1)ab棒中感应点动势的大小;
(2)回路中感应电流的大小;
(3)ab棒中哪端电势高;
(4)维持ab棒做匀速运动的水平外力F.

查看答案和解析>>

同步练习册答案