精英家教网 > 高中物理 > 题目详情

如图所示,粗细均匀的弯曲玻璃管A、B两端开口,管内有一段水银柱,右管内气体柱长为39cm,中管内水银面与管口A之间气体柱长为40cm,先将口B封闭,再将左管竖直插入水银槽中,设整个过程温度不变,稳定后右管内水银面比中管内水银面高2cm,求:

①稳定后右管内的气体压强p;

②左管A端插入水银槽的深度h(大气压强p0=76cmHg)  

 

【答案】

①78cmHg  ②7cm

【解析】

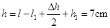
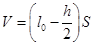
试题分析:(1)插入水银槽后右管内气体等温变化,左管竖直插入水银槽中后,右管体积为:

由玻意耳定律得:,带入数据解得:p = 78cmHg.

故稳定后右管内的气体压强:p = 78cmHg.

(2)插入水银槽后左管压强:

左管竖直插入水银槽中时,槽内水银表面的压强为大气压强,设左管内外水银面高度差为h1,此时左管内压强还可以表示为:

,联立以上两解得

中管、左管内气体等温变化,此时有:

解得:

左管插入水银槽深度

考点:本题考查了等温变化气态方程的应用.

 

练习册系列答案
相关习题

科目:高中物理 来源: 题型:

如图所示,粗细均匀的玻璃管,当温度为27℃时,封闭在管内的空气柱AB长为30cm,BC长为10cm,管内水银柱水平部分CD长为18cm,竖直部分DE长为15cm,外界大气压强为75cmHg,问:要使水平管内没有水银柱,温度至少要升高到多少℃?
现有某同学的解法如下:
以ABC管中的气体为研究对象,各状态参量如下:p1=(75-15)cmHg=60cmHgV1=(30+10)cm?S=40cm?S(式中S为玻璃管的横截面)T1=300K.要使水平管内没有水银柱,则气体膨胀到D处,这时气体的状态参量如下:p2=(75-15-18)cmHg=42cmHgV2=(30+10+18)cm?S=58cm?S(式中S为玻璃管的横截面)T2=?
因为
p1V1
T1
=
p2V2
T2
,将上述各已知量代入,可求得T2=304.5K,t2=31.5℃
所以要使水平管内没有水银柱,温度至少要升高到31.5℃
已知上述计算无误,请问该同学求得的结果是否正确?倘若有错,请求出正确结果.

查看答案和解析>>

科目:高中物理 来源: 题型:

(2012?长宁区一模)如图所示,粗细均匀的U形管竖直放置,左端封闭,右端开口,左端用水银封闭着长L=10cm的理想气体,当温度为27℃时,两管水银面的高度差△h=2cm.设外界大气压为1.0×105Pa(即75cmHg).为了使左、右两管中的水银面相平,求:
(ⅰ)若对封闭气体缓慢加热,温度需升高到多少℃?
(ⅱ)若温度保持27℃不变,需从右管的开口端再缓慢注入多少高度的水银柱?

查看答案和解析>>

科目:高中物理 来源: 题型:

(2011?上海二模)如图所示,粗细均匀的U形管,左端封闭,右端开口,左端用水银封闭着长L=15cm的理想气体,当温度为27℃时,两管水银面的高度差△h=3cm.设外界大气压为1.0×105Pa(即75cmHg).则:
(1)若对封闭气体缓慢加热,为了使左、右两管中的水银面相平,温度需升高到多少℃?
(2)若保持27℃不变,为了使左、右两管中的水银面相平,需从右管的开口端再缓慢注入的水银柱高度h应为多少?

查看答案和解析>>

科目:高中物理 来源: 题型:

[物理--选修3-3]
(1)以下有关热现象的说法中正确的是
C
C
(填入正确选项前的字母)
A.布朗运动就是液体分子的无规则运动
B.气体分子的平均动能增大,气体的压强一定增大
C.两个分子从远处逐渐靠近,直到不能再靠近为止的过程中,分子间相互作用的合力先变大、后变小,再变大
D.第二类永动机不可能制成是因为它违反了能量守恒定律
(2)如图所示,粗细均匀的玻璃管内盛液体,液面上方为理想气体,右管封口,左管有活塞,开始时液面相平,左右气柱等长均为h.当左管(足够长)活塞向上提起多高时液面高度差为h.(设开始时气体压强为P0,液体密度为ρ,温度不变)

查看答案和解析>>

科目:高中物理 来源: 题型:

精英家教网如图所示.粗细均匀的电阻为r的金属圆环放在磁感应强度为B的垂直环面的匀强磁场中,圆环的直径为d.长为d、电阻为
r2
金属棒ab在中点处与环相切,现使ab始终以垂直于棒的、大小为V的速度向左运动,到达圆环的直径位置时,ab棒两端的电势差大小为
 

查看答案和解析>>

同步练习册答案