精英家教网 > 高中物理 > 题目详情
“神舟”载人飞船的返回舱距地面10km时开始启动降落伞装置,速度减至10m/s,并以这个速度在大气中降落.在距地面某一高度时,返回舱的4台缓冲发动机开始向下喷火,舱体再次减速.设最后减速过程中返回舱做匀减速运动,加速度的大小为20m/s2,并且到达地面时速度恰好为0.求最后减速阶段的下降高度及时间.
【答案】分析:根据速度位移公式,求出最后减速阶段下降的高度,再根据速度时间公式v=v+at求出减速下降的时间.
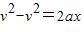
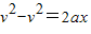
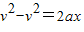
解答:解:根据速度位移公式,得:
最后减速阶段下降的高度
根据速度时间公式v=v+at
减速运动下降的时间t=
点评:解决本题的关键掌握匀变速直线运动的速度时间公式v=v+at和速度位移公式
练习册系列答案
相关习题

科目:高中物理 来源: 题型:

“神舟”系列载人飞船返回舱返回时,先靠降落伞减速,竖直落地前还靠返冲火箭使其速度进一步降低.假设返回舱速度是8m/s,返冲火箭工作0.3s后,速度降为2m/s,在这个过程中,返回舱中的航天员(  )

查看答案和解析>>

科目:高中物理 来源:2012-2013学年四川省高三10月月考物理试卷(解析版) 题型:选择题

“神舟”系列载人飞船返回舱返回时,先靠降落伞减速,竖直落地前还靠返冲火箭使其速度进一步降低。假设返回舱速度是8m/s,返冲火箭工作0.3s后,速度降为2m/s,在这个过程中,返回舱中的航天员(   )

A.处于超重状态,对座椅的平均压力约是自身体重的3倍

B.处于失重状态,对座椅的平均压力约是自身体重的1/3倍

C.处于超重状态,对座椅的平均压力约是自身体重的2倍

D.处于失重状态,对座椅的平均压力约是自身体重的1/2倍

 

查看答案和解析>>

科目:高中物理 来源:不详 题型:单选题

“神舟”系列载人飞船返回舱返回时,先靠降落伞减速,竖直落地前还靠返冲火箭使其速度进一步降低.假设返回舱速度是8m/s,返冲火箭工作0.3s后,速度降为2m/s,在这个过程中,返回舱中的航天员(  )
A.处于超重状态,对座椅的平均压力约是自身体重的3倍
B.处于失重状态,对座椅的平均压力约是自身体重的
1
3
C.处于超重状态,对座椅的平均压力约是自身体重的2倍
D.处于失重状态,对座椅的平均压力约是自身体重的
1
2

查看答案和解析>>

科目:高中物理 来源:2011-2012学年黑龙江省双鸭山市饶河中学高三(上)期中物理试卷(解析版) 题型:选择题

“神舟”系列载人飞船返回舱返回时,先靠降落伞减速,竖直落地前还靠返冲火箭使其速度进一步降低.假设返回舱速度是8m/s,返冲火箭工作0.3s后,速度降为2m/s,在这个过程中,返回舱中的航天员( )
A.处于超重状态,对座椅的平均压力约是自身体重的3倍
B.处于失重状态,对座椅的平均压力约是自身体重的
C.处于超重状态,对座椅的平均压力约是自身体重的2倍
D.处于失重状态,对座椅的平均压力约是自身体重的

查看答案和解析>>

科目:高中物理 来源:2013届四川省成都外国语学校高三10月月考物理试卷(带解析) 题型:单选题

“神舟”系列载人飞船返回舱返回时,先靠降落伞减速,竖直落地前还靠返冲火箭使其速度进一步降低。假设返回舱速度是8m/s,返冲火箭工作0.3s后,速度降为2m/s,在这个过程中,返回舱中的航天员(  )

A.处于超重状态,对座椅的平均压力约是自身体重的3倍
B.处于失重状态,对座椅的平均压力约是自身体重的1/3倍
C.处于超重状态,对座椅的平均压力约是自身体重的2倍
D.处于失重状态,对座椅的平均压力约是自身体重的1/2倍

查看答案和解析>>

同步练习册答案