精英家教网 > 高中物理 > 题目详情

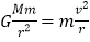
【题目】如图所示,在同一轨道平面上的几个人造地球卫星ABC绕地球做匀速圆周运动,某一时刻它们恰好在同一直线上,下列说法正确的是(  )

A. 根据可知,运行速度满足vAvBvC

B. 运转角速度满足ωAωBωC

C. 向心加速度满足aAaBaC

D. 运动一周后,A最先回到图示位置

【答案】C

【解析】设地球的质量为M,卫星的轨道半径为r,根据万有引力提供向心力,,解得卫星的速度,可见,r越大,v越小,则有,不能根据比较,因为随着半径的变化,g值也在变化,故A错误;根据万有引力提供向心力,,解得,所以运转角速度满足,故B错误;根据公式向心加速度,所以,故C正确;根据,r越大,T越大,所以,所以运动一周后,C先回到原地点,故D错误.

练习册系列答案
相关习题

科目:高中物理 来源: 题型:

【题目】用圆锥摆验证向心力的表达式实验中,如图甲所示,细绳的悬点刚好与一竖直放置的刻度尺零刻度线对齐.将画着几个同心圆的白纸置于水平桌面上,使钢球静止时刚好位于圆心.用手带动钢球,调整白纸的位置,设法使球刚好沿纸上某个半径为r的圆做圆周运动,钢球的质量为m,重力加速度为g

用秒表记录运动n圈的总时间为t,那么小球做圆周运动需要的向心力表达式为Fn =_______________

通过刻度尺测得小球运动轨道平面距悬点的高度为h,那么小球做圆周运动中外力提供的向心力表达式为F =_______________

改变小球做圆周运动的半径,多次实验,得到如图乙所示的关系图象为一直线时,可以达到粗略验证向心力表达式的目的,该图线的斜率表达式为k=___________________

查看答案和解析>>

科目:高中物理 来源: 题型:

【题目】某同学在用单摆测定重力加速度的实验中测量了一些数据,其中的一组数据如下所示.

)该同学用秒表记录了单摆振动次全振动所用的时间如图(甲)所示,则秒表所示读数为____ .单摆的周期是(保留三位有效数字)___________

)为了提高实验精度,在试验中可改变几次摆长,测出相应的周期,从而得出一组对应的的数值,再以为横坐标为纵坐标,将所得数据连成直线如图(乙)所示, 的关系式__________(重力加速度,用以上给出的字母表示),利用图线可求出图线的斜率__________,再由可求出__________,保留三位有效数字).

图甲

图乙

查看答案和解析>>

科目:高中物理 来源: 题型:

【题目】某同学用如图所示的实验装置探究小车动能变化与合外力对它所做功的关系。图中A为小车,连接在小车后面的纸带穿过打点计时器B的限位孔,它们均置于水平放置的一端带有定滑轮的足够长的木板上,C为弹簧测力计,不计绳与滑轮的摩擦。实验时,先接通电源再松开小车,打点计时器在纸带上打下一系列点。

⑴ 该同学在一条比较理想的纸带上,从点迹清楚的某点开始记为O点,顺次选取5个点,分别测量这5个点到O之间的距离,并计算出它们与O点之间的速度平方差△v2(△v2=v2v02),填入下表:

请以△v2为纵坐标,以s为横坐标在方格纸中作出v2s图象.若测出小车质量为0.2kg,结合图象可求得小车所受合外力的大小为_______N

⑵ 若该同学通过计算发现小车所受合外力小于测力计读数,明显超出实验误差的正常范围。你认为主要原因是__________________,实验操作中改进的措施是___________________

查看答案和解析>>

科目:高中物理 来源: 题型:

【题目】20174221223分,距地面393公里的太空轨道,天舟一号货运飞船与天宫二号空间实验室顺利完成自动交会对接,为不久后的推进剂在轨补加即“太空加油”打下良好基础。若天舟一号飞船与天宫二号均绕地球的中心O做半径为r、逆时针方向的匀速圆周运动,地球的半径为R,地球表面的重力加速度为g,则

A. 天舟一号飞船的线速度大小为

B. 天舟一号飞船从图示位置运动到天宫二号所在位置所需时间为

C. 天舟一号飞船要想追上天宫二号,必须向后喷气

D. 天舟一号飞船绕地球运动的线速度大于第一宇宙速度

查看答案和解析>>

科目:高中物理 来源: 题型:

【题目】将一只苹果斜向上抛出,苹果在空中依次飞过三个完全相同的窗户1、2、3.图中曲线为苹果在空中运行的轨迹.若不计空气阻力的影响,以下说法正确的是( )

A. 苹果通过第1个窗户所用的时间最长

B. 苹果通过第3个窗户的平均速度最大

C. 苹果通过第1个窗户重力做的功最大

D. 苹果通过第3个窗户重力的平均功率最小

查看答案和解析>>

科目:高中物理 来源: 题型:

【题目】如图所示,质量为m的小球从距离地面高H的A点由静止开始释放,落到地面上后又陷入泥潭中,由于受到阻力作用到达距地面深度为h的B点速度减为零.不计空气阻力,重力加速度为g.关于小球下落的整个过程,下列说法中正确的是(  )

A. 小球的机械能减少了mg(H+h)

B. 小球克服阻力做的功为mgh

C. 小球所受阻力的冲量大于m

D. 小球动量的改变量等于所受阻力的冲量

查看答案和解析>>

科目:高中物理 来源: 题型:

【题目】如图所示,水下光源S向水面A点发射一束光线,折射光线分别为a.b两束。则( )

A.在水中a光的速度与b光的一样大

B.a.b两束光相比较,在真空中a光的波长较长

C.若保持入射点A位置不变,将入射光线顺时针旋转,从水面上方观察,a光先消失

D.用同一双缝干涉实验装置分别用a.b光做实验,a光干涉相邻条纹间距小于b光干涉相邻条纹间距

查看答案和解析>>

科目:高中物理 来源: 题型:

【题目】如图所示,在发射地球同步卫星的过程中,卫星首先进入椭圆轨道I,然后在Q点通过改变卫星速度,让卫星进入地球同步轨道Ⅱ,则

A. 该卫星的发射速度必定大于11.2km/s

B. 卫星在椭圆轨道I上的运行周期大于在轨道Ⅱ上运行的周期

C. 在轨道I上,卫星在P点的速度小于在Q点的速度

D. 卫星在Q点通过加速实现由轨道I进入轨道Ⅱ

查看答案和解析>>

同步练习册答案