精英家教网 > 高中物理 > 题目详情
在水平光滑的冰面上, 质量为M的小孩和质量为m的木箱都静止不动. 如果小孩推木箱, 使木箱以相对于冰面的速度v向前滑行. 则在这一过程中, 则小孩所做的功是

[  ]

A. mv2  B. v2  C.mv2(1+)  D. mv2(1-)

答案:C
解析:

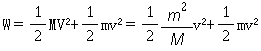
解:根据动量守恒  mv=MV

                 V=v

   小孩所做的功, 使人和木箱均获得动能

    

      


练习册系列答案
相关习题

科目:高中物理 来源: 题型:

在光滑的冰面上,放置一个截面为四分之一圆的半径足够大的光滑自由曲面,一个坐在冰车上的小孩手扶小球静止在冰面上.某时刻小孩将小球以v0=2m/s的速度向曲面推出(如图所示).已知小孩和冰车的总质量为m1=40kg,小球质量为m2=2kg,曲面质量为m3=10kg.试求小孩将球推出后还能否再接到球,若能,则求出再接到球后人的速度,若不能,则求出球再滑回水平面上的速度.

查看答案和解析>>

科目:高中物理 来源:2012年人教版高中物理选修3-5 16.5反冲运动、火箭练习卷(解析版) 题型:选择题

穿着溜冰鞋的人,站在光滑的冰面上,沿水平方向举枪射击.设第一次射出子弹后,人后退的速度为v,则(  )

A.无论射出多少颗子弹,人后退的速度为v保持不变

B.射出n颗子弹后,人后退的速度为nv

C.射出n颗子弹后,人后退的速度大于nv

D.射出n颗子弹后,人后退的速度小于nv

 

查看答案和解析>>

科目:高中物理 来源:2012年人教版高中物理选修3-5 16.5反冲运动、火箭练习卷(解析版) 题型:选择题

一人静止于完全光滑的冰面上,现欲离开冰面,下列可行的方法是(  )

A.向后踢腿          B.手臂向上摆

C.在冰面上滚动             D.脱下外衣水平抛出

 

查看答案和解析>>

科目:高中物理 来源:新人教版选修3-5《第16章 动量守恒定律》2013年单元测试卷(3)(解析版) 题型:解答题

在光滑的冰面上,放置一个截面为四分之一圆的半径足够大的光滑自由曲面,一个坐在冰车上的小孩手扶小球静止在冰面上.某时刻小孩将小球以v=2m/s的速度向曲面推出(如图所示).已知小孩和冰车的总质量为m1=40kg,小球质量为m2=2kg,曲面质量为m3=10kg.试求小孩将球推出后还能否再接到球,若能,则求出再接到球后人的速度,若不能,则求出球再滑回水平面上的速度.

查看答案和解析>>

同步练习册答案