精英家教网 > 高中物理 > 题目详情
如图所示的电路中,三个电阻值均为R,E为电源,内阻不计,平行板电容器两极板间距离为d,两极板间有质量为m.电荷量为q的带电小球.当开关S闭合时,带电小球静止在两板间的中点O,现将S断开,小球便向某极板运动,并与此极板碰撞,设碰撞时没有机械能损失,但带电小球的带电荷量发生变化,碰后小球带有与该极板同性质的电荷,而且所带的电荷量恰好能使它运动到另一个极板.求小球与某极板碰撞后所带的电荷量.

【答案】分析:开关闭合的时候,电容器两极板间的电压与与R3两端电压相同,根据欧姆定律可得R3两端的电势差U1,当开关打开后R3两端的电压U2,由于电容器两端电压减小,带电小球所受电场力减小,由此判断小球带负电,开关S断开后小球将向下运动,根据动能定理可以求得小球到达下极板间的动能,与极板撞击后,小球速度反向,电荷量发生变化,再根据动能定理求解即可.
解答:解:开关闭合时,电容器两端电压与电阻R3两端电压相同,根据欧姆定律可得R3两端电压=,当开关s断开后,电容器两端电压也与电阻R3两端电压相同,根据欧姆定律可得R3两端电压
当小于电压时,电场力与重力平衡,有,当开关断开后,电场力F=
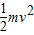
小球从电容器中间运动到下极板时,有电场力和重力做功,根据动能定理有:
mg-F×=-0     
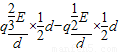
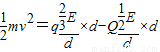
即:=          ①
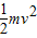
电荷从下极板反弹回上极板的过程中电荷电量改为Q所受电场力为F′=,则有动能定理有:
-mgd+F′d=0-             
即:              ②
由①和②可得:Q=
答:求小球与某极板碰撞后所带的电荷量为
点评:解决关键是能根据电势差U与电场强度E间的关系得到电荷在电场所受电场力的表达式,并根据电场中电荷的受力和做功情况,用动能定理求解.
练习册系列答案
相关习题

科目:高中物理 来源: 题型:

在如图所示的电路中,三只小灯泡正常发光,当滑动变阻器的滑动片向右移动时,L1、L3中的电流大小变化量为|△I1|、|△I3|,L1、L2两端的电压大小变化量为|△U1|、|△U2|,不计温度对灯丝电阻的影响,则下列说法中正确的是(  )

查看答案和解析>>

科目:高中物理 来源: 题型:

如图所示的电路中,三个电阻值均为R,E为电源,内阻不计,平行板电容器两极板间距离为d,两极板间有质量为m.电荷量为q的带电小球.当开关S闭合时,带电小球静止在两板间的中点O,现将S断开,小球便向某极板运动,并与此极板碰撞,设碰撞时没有机械能损失,但带电小球的带电荷量发生变化,碰后小球带有与该极板同性质的电荷,而且所带的电荷量恰好能使它运动到另一个极板.求小球与某极板碰撞后所带的电荷量.

查看答案和解析>>

科目:高中物理 来源: 题型:

(2008?江苏)如图所示的电路中,三个相同的灯泡a、b、c和电感L1、L2与直流电源连接,电感的电阻忽略不计.电键K从闭合状态突然断开时,下列判断正确的有(  )

查看答案和解析>>

科目:高中物理 来源: 题型:

精英家教网如图所示的电路中,三个电压表对应的读数分别为U1、U2、U3,若移动滑动变阻器滑片后,三个电压表读数改变量的绝对值分别为△U1、△U2、△U3,则(  )

查看答案和解析>>

科目:高中物理 来源: 题型:

精英家教网如图所示的电路中,三个电阻阻值均为R,电源内阻不计.两金属板间的距离为d,当开关K闭合时,一质量为m、电量为q的带电油滴从高处由静止下落经上板中央小孔后,落到两板间的匀强电场中时做匀速运动.开关断开后,仍使该油滴从同一位置由静止落下,恰好不能碰到下板,忽略空气对油滴的浮力和阻力,重力加速度为g.求:
(1)油滴开始下落时离上板的高度H;
(2)开关断开后,油滴下落过程的总时间t.

查看答案和解析>>

同步练习册答案